Open Access

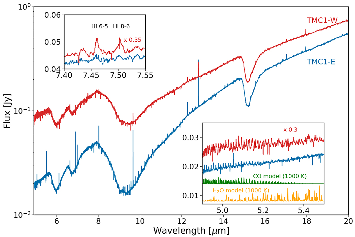
Fig. 2.

image

Download original image

Spectra extracted from the MIR continuum peaks of the two protostars. Several absorption features associated with ice and dust are seen in both sources and emission lines coming from the disk and central protostars, although some contamination with outflows and winds is also possible. Top-left: zoom-in on the two hydrogen recombination lines detected in emission towards protostars. Bottom-right: spectra revealing molecular gas emission and corresponding slab models of CO (green) and H2O (orange).

Current usage metrics show cumulative count of Article Views (full-text article views including HTML views, PDF and ePub downloads, according to the available data) and Abstracts Views on Vision4Press platform.

Data correspond to usage on the plateform after 2015. The current usage metrics is available 48-96 hours after online publication and is updated daily on week days.

Initial download of the metrics may take a while.