Fig. 4.

Download original image
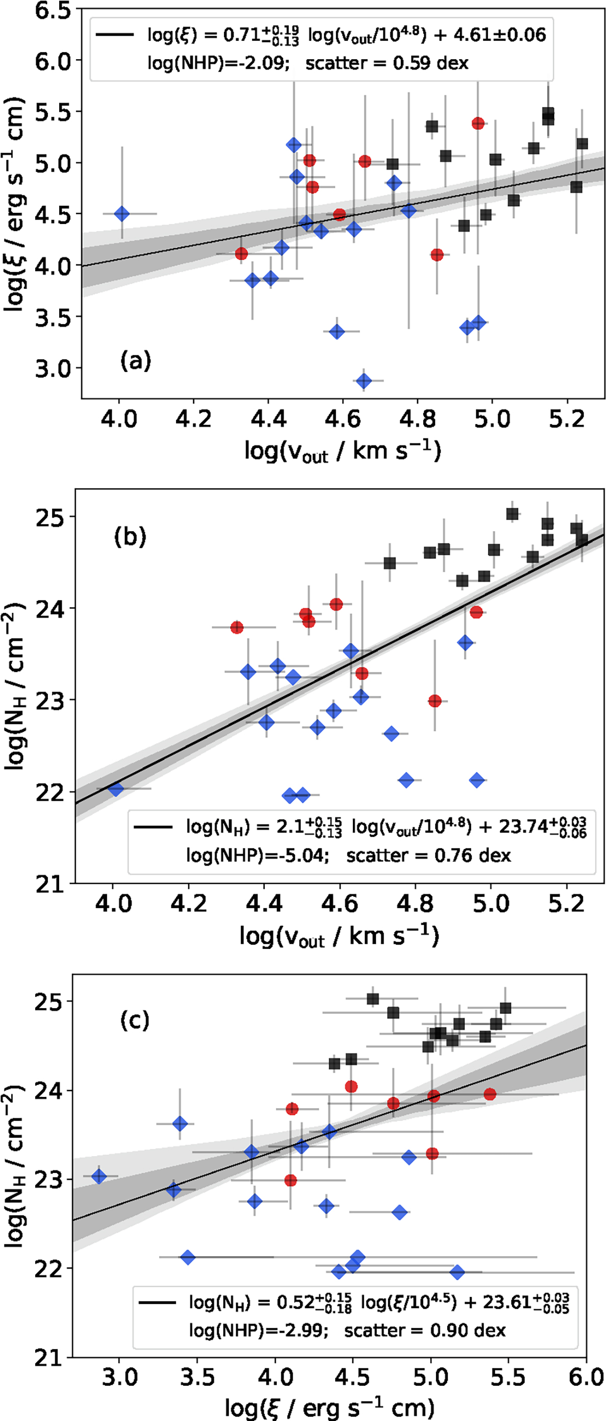
Significant correlations of observed UFO properties. Panel a: ξ versus vout. Panel b: NH versus vout. Panel c: ξ versus NH. The S23 UFO sub-sample is shown in red circles, T10 in blue diamonds, and C21 in black squares. The solid lines represent the best-fitting linear correlation and the dark and light gray shadowed areas indicate the 68% and 90% confidence bands, respectively. In the legend, we report the best-fit coefficients, logNHP, and the intrinsic scatters for the correlations.
Current usage metrics show cumulative count of Article Views (full-text article views including HTML views, PDF and ePub downloads, according to the available data) and Abstracts Views on Vision4Press platform.
Data correspond to usage on the plateform after 2015. The current usage metrics is available 48-96 hours after online publication and is updated daily on week days.
Initial download of the metrics may take a while.