Fig. 1.

Download original image
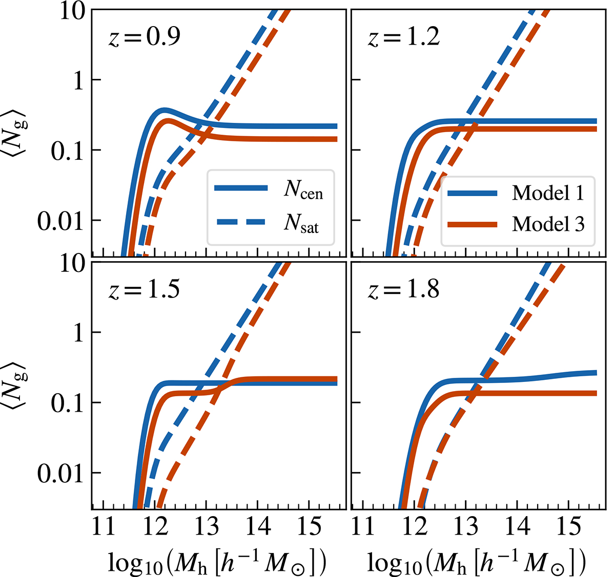
Halo occupation dsitribution profiles of the eight Hα samples employed in this analysis. Individual panels show the profiles at different redshift (increasing from the top left to the bottom right panel) for both Model 1 (blue) and 3 (orange). Solid and dashed lines identify the average number of central and satellite galaxies, respectively, in halos of mass Mh.
Current usage metrics show cumulative count of Article Views (full-text article views including HTML views, PDF and ePub downloads, according to the available data) and Abstracts Views on Vision4Press platform.
Data correspond to usage on the plateform after 2015. The current usage metrics is available 48-96 hours after online publication and is updated daily on week days.
Initial download of the metrics may take a while.