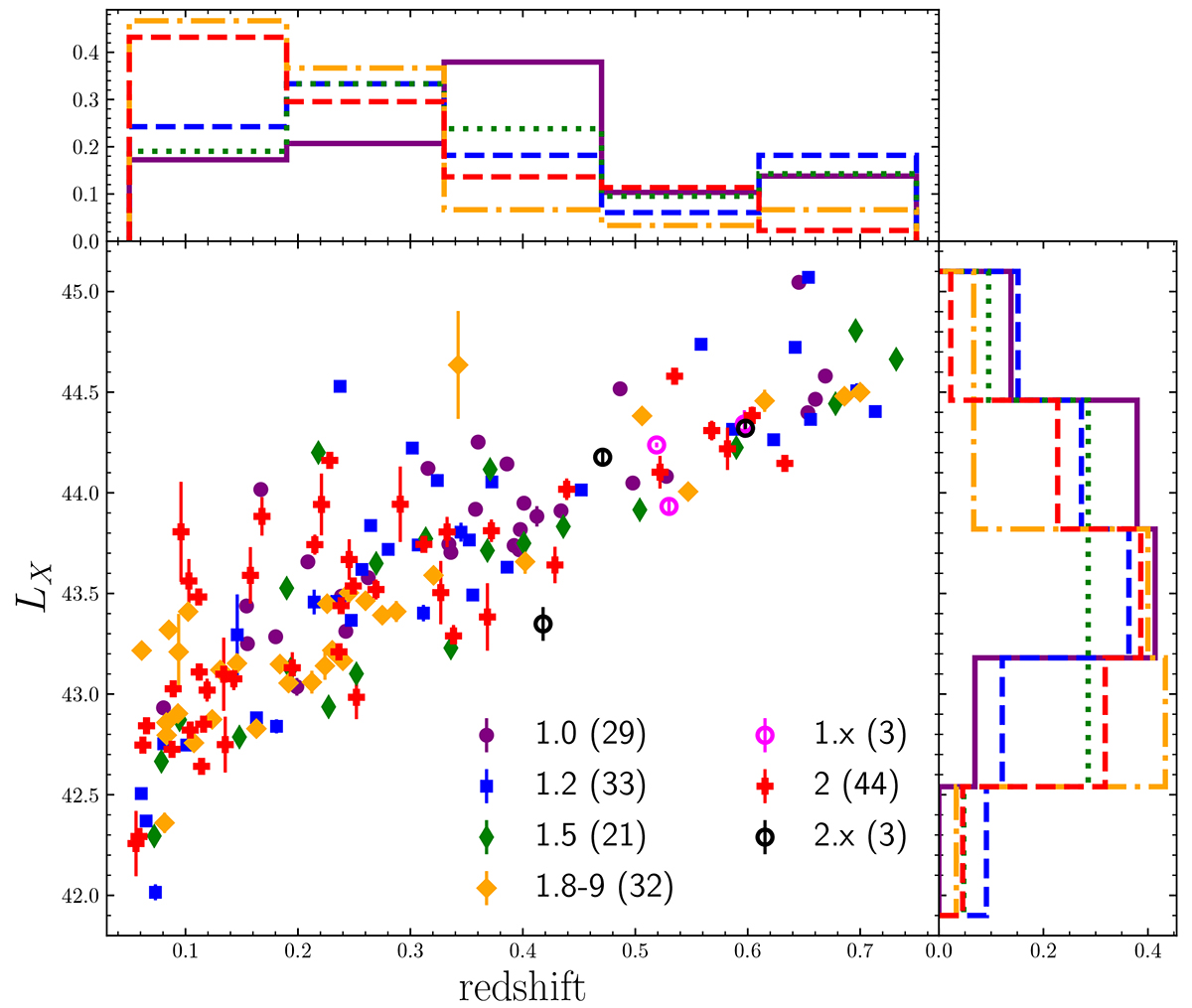
Fig. 1.

Download original image
Decimal logarithm of the intrinsic rest-frame 2–10 keV X-ray luminosity versus redshift, and the projected distributions of these quantities for different sub-types of AGN (see text). Distributions are normalised such that the sum of the heights equals 1. Symbols, line styles, and colour codes of this figure depend on sub-type (see Sect. 3.2) and will remain the same for the rest of the work.
Current usage metrics show cumulative count of Article Views (full-text article views including HTML views, PDF and ePub downloads, according to the available data) and Abstracts Views on Vision4Press platform.
Data correspond to usage on the plateform after 2015. The current usage metrics is available 48-96 hours after online publication and is updated daily on week days.
Initial download of the metrics may take a while.