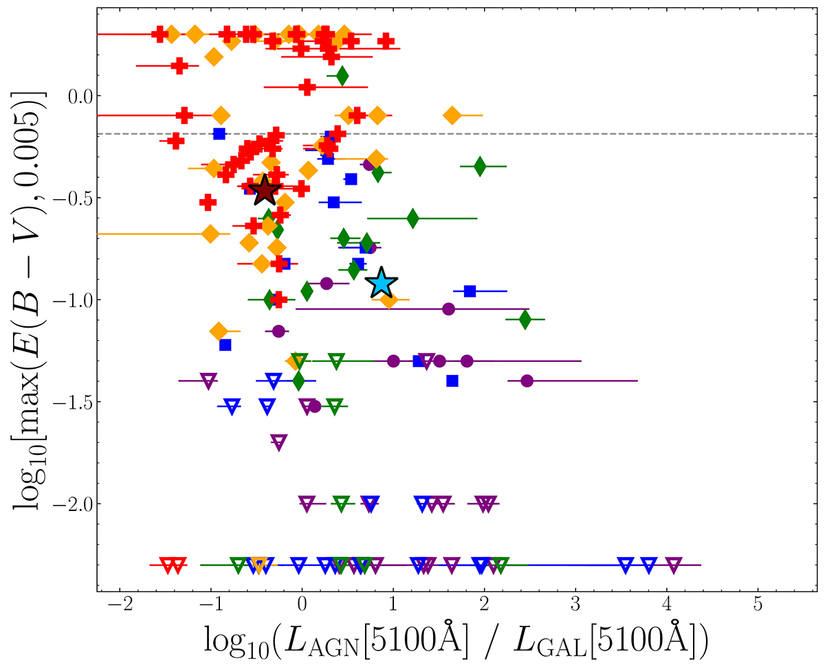
Fig. 12.

Download original image
Intrinsic AGN over host galaxy contrast at rest-frame 5100 Å versus the optical extinction. To represent E(B − V) = 0 values in a logarithmic axis they have been approximated as E(B − V) = 0.005. Large stars corresponds the mean points of groups 1.0–5 (blue, ⟨log10(LAGN/LGAL)⟩ = 0.87 ± 0.11) and 1.8–2 (maroon, ⟨log10(LAGN/LGAL)⟩ = −0.41 ± 0.08) both with extinctions under E(B − V) = 0.65. Symbol and colour code as in Fig. 1, except for AGN with E(B − V) compatible with no obscuration, that have been represented with empty triangles pointing down.
Current usage metrics show cumulative count of Article Views (full-text article views including HTML views, PDF and ePub downloads, according to the available data) and Abstracts Views on Vision4Press platform.
Data correspond to usage on the plateform after 2015. The current usage metrics is available 48-96 hours after online publication and is updated daily on week days.
Initial download of the metrics may take a while.