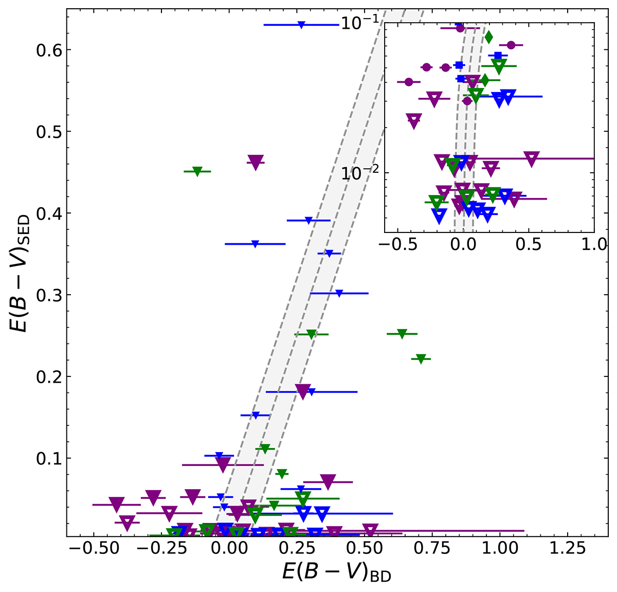
Fig. 4.

Download original image
Optical extinction of the accretion disk derived from the SED fit (E(B − V)AGN, SED) versus the one derived from the Balmer decrement of the Hα and Hβ broad emission lines (E(B − V)AGN, BD). The grey area represents the 1:1 relation and its 1σ uncertainty from Dong et al. (2008). A random contribution of ±0.003 was added to E(B − V)SED to avoid the superposition of points with the same value. The inset shows a zoom of those objects with E(B − V)SED < 0.1. Symbol and colour coded as in Fig. 1, except for AGN with E(B − V) compatible with no obscuration, that are represented with empty triangles pointing down.
Current usage metrics show cumulative count of Article Views (full-text article views including HTML views, PDF and ePub downloads, according to the available data) and Abstracts Views on Vision4Press platform.
Data correspond to usage on the plateform after 2015. The current usage metrics is available 48-96 hours after online publication and is updated daily on week days.
Initial download of the metrics may take a while.