Open Access
Fig. 10

Download original image
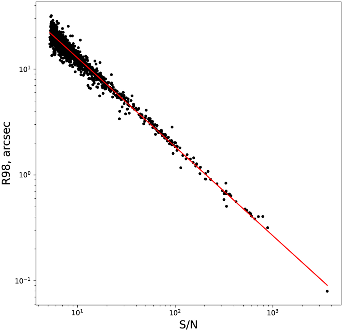
Statistical position uncertainties of the ARTSS1-5 sources as a function of their detection significance. The solid line shows the approximate relation between these quantities given by Eq. (4).
Current usage metrics show cumulative count of Article Views (full-text article views including HTML views, PDF and ePub downloads, according to the available data) and Abstracts Views on Vision4Press platform.
Data correspond to usage on the plateform after 2015. The current usage metrics is available 48-96 hours after online publication and is updated daily on week days.
Initial download of the metrics may take a while.