Open Access
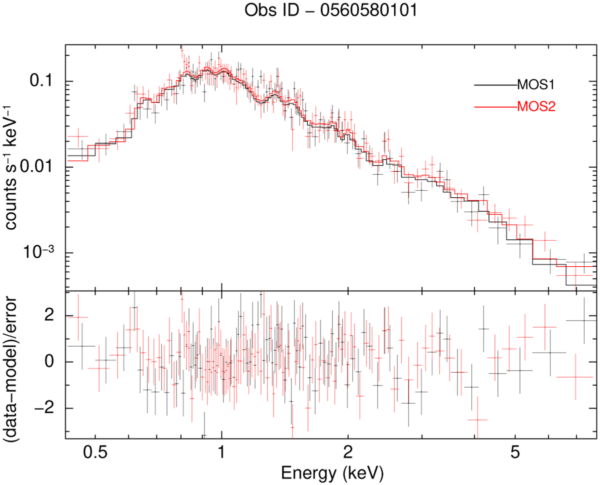
Fig. 6

Download original image
MOS1 and MOS2 spectra of HD 93250 jointly fitted with the three-temperature thermal plasma emission model from the observation ID 0560580101. The details of the spectral fitting are provided in Table A.2.
Current usage metrics show cumulative count of Article Views (full-text article views including HTML views, PDF and ePub downloads, according to the available data) and Abstracts Views on Vision4Press platform.
Data correspond to usage on the plateform after 2015. The current usage metrics is available 48-96 hours after online publication and is updated daily on week days.
Initial download of the metrics may take a while.