Fig. C.1.

Download original image
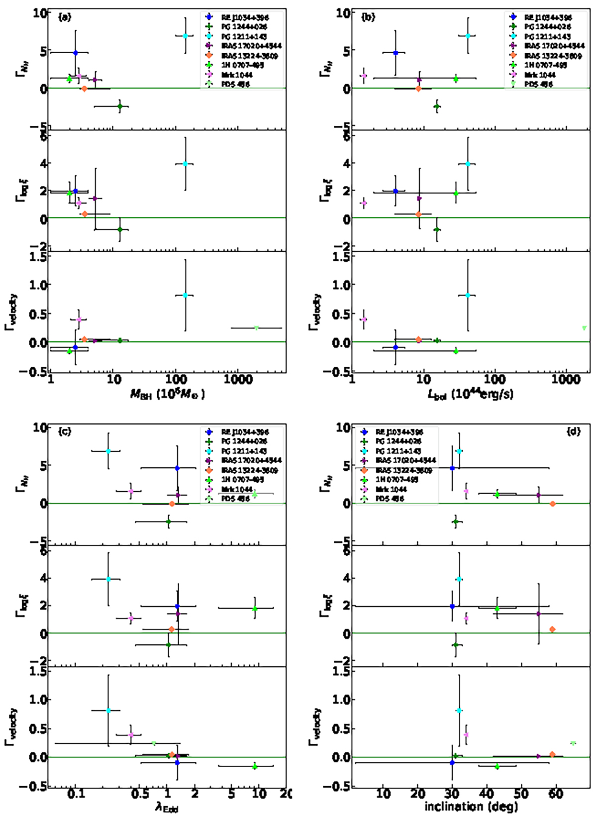
The evolution slopes of the UFO column density ΓNH (top), ionization state Γlogξ (middle) and velocity Γv (bottom) versus the black hole mass MBH (a), bolometric luminosity Lbol (b), Eddington ratio λEdd (c), and inclination angle (d). The data come from the results listed in Tables 2 and 3. The horizontal dashed lines denote the zero value of the slope.
Current usage metrics show cumulative count of Article Views (full-text article views including HTML views, PDF and ePub downloads, according to the available data) and Abstracts Views on Vision4Press platform.
Data correspond to usage on the plateform after 2015. The current usage metrics is available 48-96 hours after online publication and is updated daily on week days.
Initial download of the metrics may take a while.