Open Access
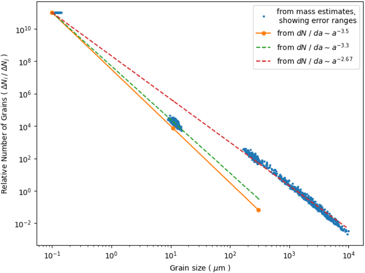
Fig. F.1

Download original image
Model-estimated relative abundances of the three grain sizes compared to those predicted by the power law dN/da ∝ a-3.5 (Dohnanyi 1969). We used the asymmetric upper and lower uncertainties (see Table 4) to generate 3000 data pairs ai and Δ Ni in order to properly account for correlated errors.
Current usage metrics show cumulative count of Article Views (full-text article views including HTML views, PDF and ePub downloads, according to the available data) and Abstracts Views on Vision4Press platform.
Data correspond to usage on the plateform after 2015. The current usage metrics is available 48-96 hours after online publication and is updated daily on week days.
Initial download of the metrics may take a while.