Fig. 11.

Download original image
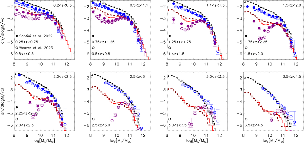
Galaxy stellar mass function for all galaxies (grey and lack) and for quiescent galaxies selected on the basis of their sSFR (red and dark red) as predicted from the GAEA2023 model run on the Millennium Simulation (solid lines) and on the Millennium II (thick dashed lines). Symbols with error bars show different observational predictions as indicated in the legend. All model predictions shown in this figure assume a stellar mass uncertainty of 0.25 dex. The redshift bins used for the model have been optimized to match those employed by Weaver et al. (2023), that are slightly offset from that adopted in Santini et al. (2022) as indicated in the legend.
Current usage metrics show cumulative count of Article Views (full-text article views including HTML views, PDF and ePub downloads, according to the available data) and Abstracts Views on Vision4Press platform.
Data correspond to usage on the plateform after 2015. The current usage metrics is available 48-96 hours after online publication and is updated daily on week days.
Initial download of the metrics may take a while.