Fig. 13.

Download original image
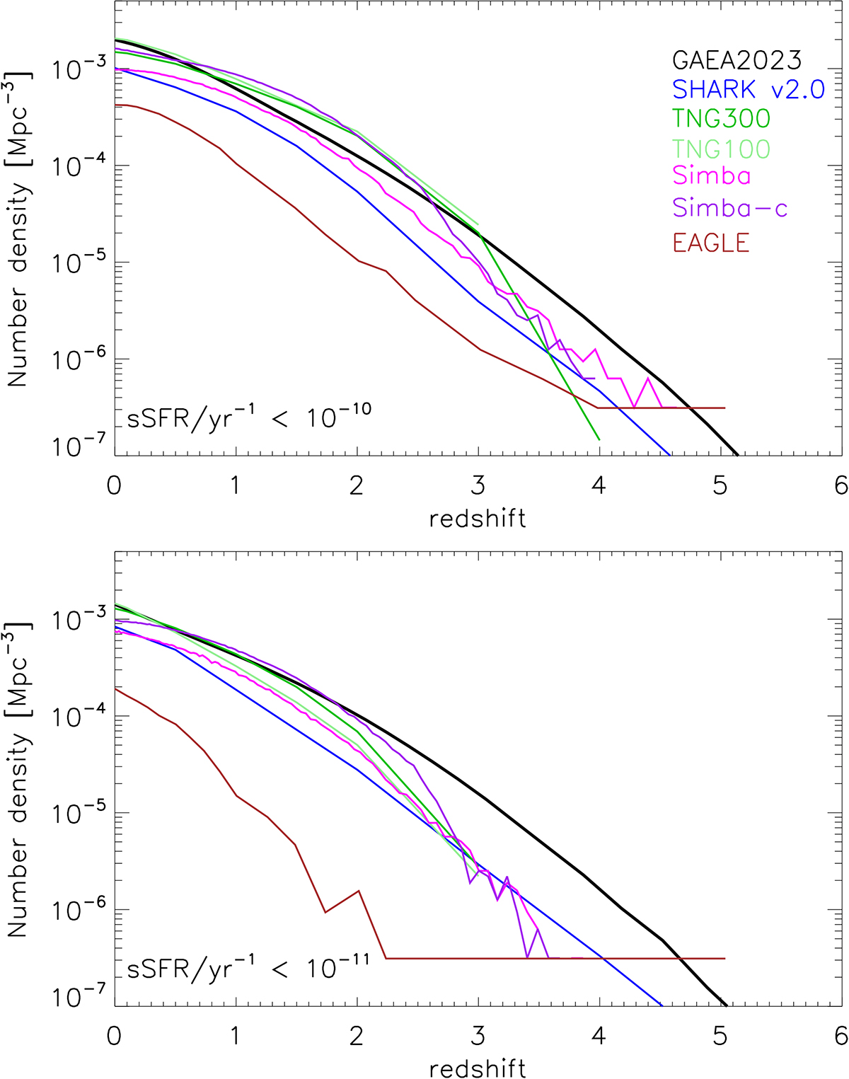
Cumulative number density of massive quiescent galaxies as a function of redshift. Predictions from GAEA2023 (shown by the solid black line in each panel) are compared with predictions from independent recently published models. The latter are shown as coloured lines, as indicated in the legend in the top panel. All model predictions correspond to galaxies more massive than 1010.5 M⊙ and do not include any uncertainty on the properties considered (intrinsic predictions are shown). Top and bottom panels correspond to two different (flat) cuts in sSFR to select quiescent galaxies, as indicated in the bottom left of each panel.
Current usage metrics show cumulative count of Article Views (full-text article views including HTML views, PDF and ePub downloads, according to the available data) and Abstracts Views on Vision4Press platform.
Data correspond to usage on the plateform after 2015. The current usage metrics is available 48-96 hours after online publication and is updated daily on week days.
Initial download of the metrics may take a while.