Open Access
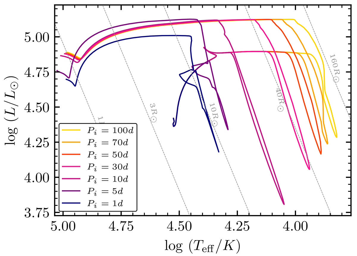
Fig. A.1.

Download original image
Evolutionary tracks of 16M⊙ models at LMC metallicity (with varied initial orbital periods (Pini)) on the HR diagrams. Various colours indicate the various values of Pini described in the legend.
Current usage metrics show cumulative count of Article Views (full-text article views including HTML views, PDF and ePub downloads, according to the available data) and Abstracts Views on Vision4Press platform.
Data correspond to usage on the plateform after 2015. The current usage metrics is available 48-96 hours after online publication and is updated daily on week days.
Initial download of the metrics may take a while.