Open Access
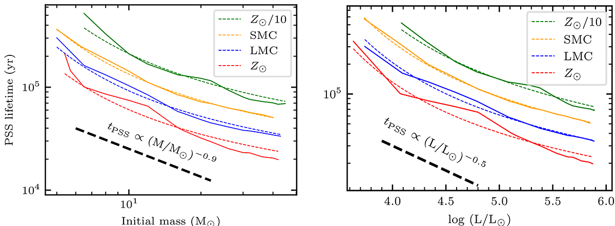
Fig. 7.

Download original image
Variation of puffed-up stripped star (PSS) lifetime (tPSS) with initial donor masses (left) and corresponding luminosity (right) at various metallicity (represented by various colours). Dashed lines represent fits for the corresponding data. The bold dashed line guides the eye to illustrate the steepness of the slopes.
Current usage metrics show cumulative count of Article Views (full-text article views including HTML views, PDF and ePub downloads, according to the available data) and Abstracts Views on Vision4Press platform.
Data correspond to usage on the plateform after 2015. The current usage metrics is available 48-96 hours after online publication and is updated daily on week days.
Initial download of the metrics may take a while.