Fig. 9.

Download original image
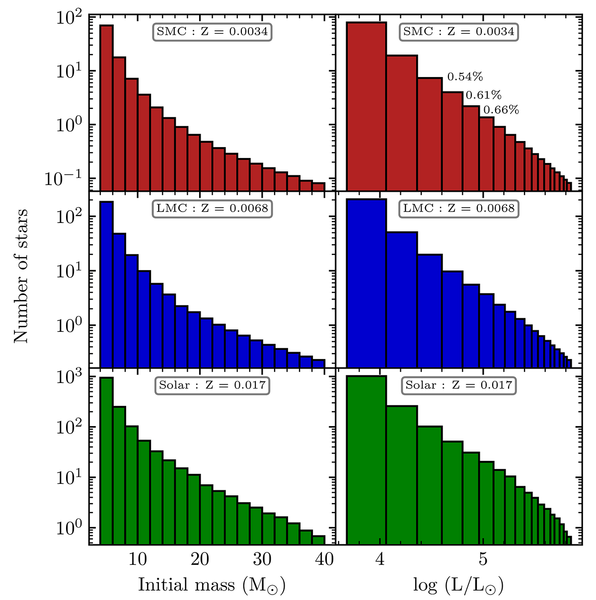
Estimates of the number of PS stars that can be found at different mass ranges (left) and different luminosity ranges(right) at SMC (upper) and LMC (middle) and solar (lower) metallicities. Values above the bars in the upper right panel show the percentage of puffed-up stripped stars relative to the number of all stars in that luminosity bin, most of which are MS, based on Schootemeijer et al. (2021).
Current usage metrics show cumulative count of Article Views (full-text article views including HTML views, PDF and ePub downloads, according to the available data) and Abstracts Views on Vision4Press platform.
Data correspond to usage on the plateform after 2015. The current usage metrics is available 48-96 hours after online publication and is updated daily on week days.
Initial download of the metrics may take a while.