Open Access
Fig. 4

Download original image
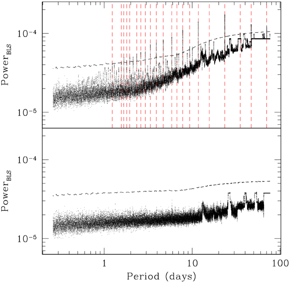
BLS periodogram of systematics-corrected and splined light curve (top) and of the same light curve with transits subtracted (bottom). The dashed curves indicate the 1% false-alarm-probability (FAP) threshold. The red, vertical, dashed lines in the top panel denote the periods where the BLS power surpasses the threshold.
Current usage metrics show cumulative count of Article Views (full-text article views including HTML views, PDF and ePub downloads, according to the available data) and Abstracts Views on Vision4Press platform.
Data correspond to usage on the plateform after 2015. The current usage metrics is available 48-96 hours after online publication and is updated daily on week days.
Initial download of the metrics may take a while.