Open Access
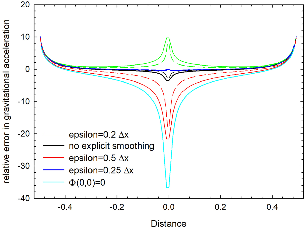
Fig. B.1

Download original image
Relative error to the gravitational acceleration. The curves show solutions with and without the e-correction as indicated in the legend. The solid and dashed styles correspond to numerical resolutions of 128 × 128 and 256 × 256 grid zones, respectively.
Current usage metrics show cumulative count of Article Views (full-text article views including HTML views, PDF and ePub downloads, according to the available data) and Abstracts Views on Vision4Press platform.
Data correspond to usage on the plateform after 2015. The current usage metrics is available 48-96 hours after online publication and is updated daily on week days.
Initial download of the metrics may take a while.