Fig. B.2

Download original image
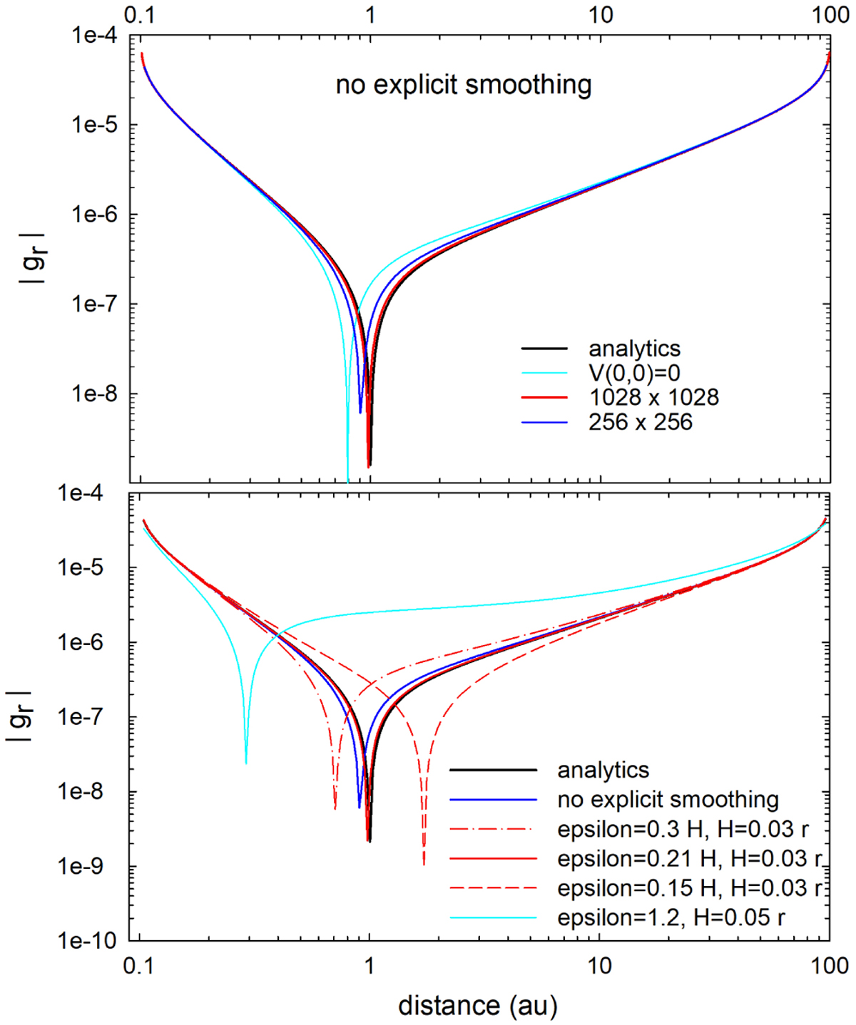
Gravitational acceleration of a constant density disk in models without and with gravitational potential smoothing. The top panel presents the comparison of our method without explicit smoothing with the analytic solution for different number of grid cells and also without considering the contribution of the singularity cell (V(0,0) = 0). The bottom panel plots the numerical solutions with explicit smoothing for different choices of the ∈-value.
Current usage metrics show cumulative count of Article Views (full-text article views including HTML views, PDF and ePub downloads, according to the available data) and Abstracts Views on Vision4Press platform.
Data correspond to usage on the plateform after 2015. The current usage metrics is available 48-96 hours after online publication and is updated daily on week days.
Initial download of the metrics may take a while.