Fig. 2.

Download original image
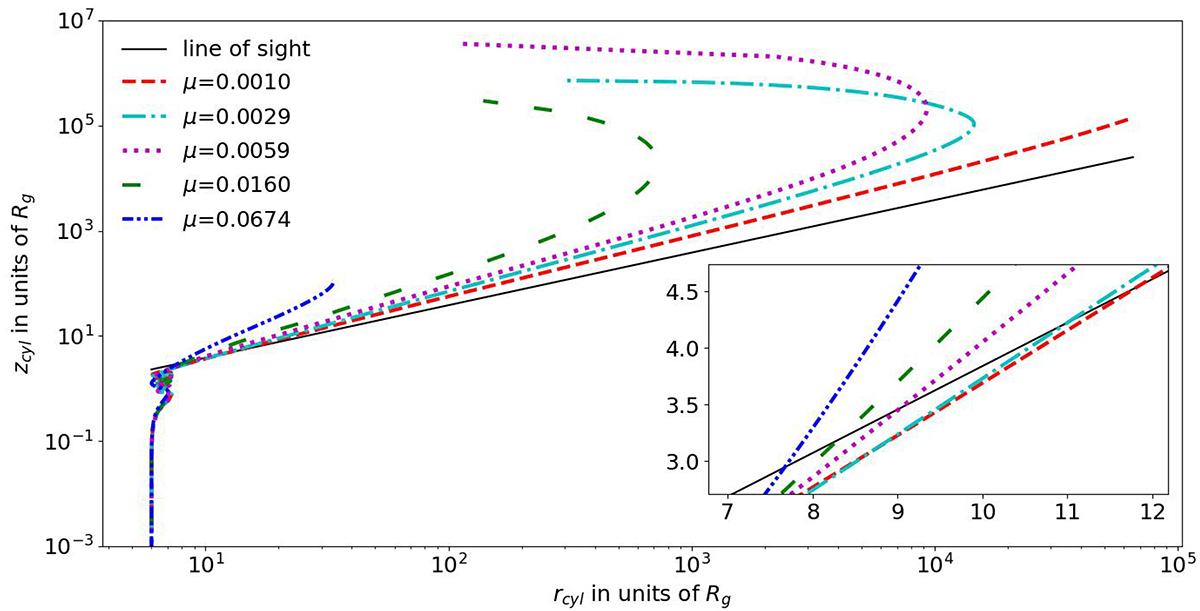
Poloidal magnetic field lines for different magnetisations, μ. For each solution we show only one field line anchored at 6 Rg (Rg is the gravitational radius). The solid black line indicates the LOS at an inclination of i = 21° (θ = 69°). Inset shows a zoomed in view of the LOS crossing the magnetic field lines with different magnetisations. We see that the same LOS cuts the different field lines at different distances, due to the different geometry of the magnetic field lines. Please note that the axes of the inset are non-logarithmic.
Current usage metrics show cumulative count of Article Views (full-text article views including HTML views, PDF and ePub downloads, according to the available data) and Abstracts Views on Vision4Press platform.
Data correspond to usage on the plateform after 2015. The current usage metrics is available 48-96 hours after online publication and is updated daily on week days.
Initial download of the metrics may take a while.