Fig. 6.

Download original image
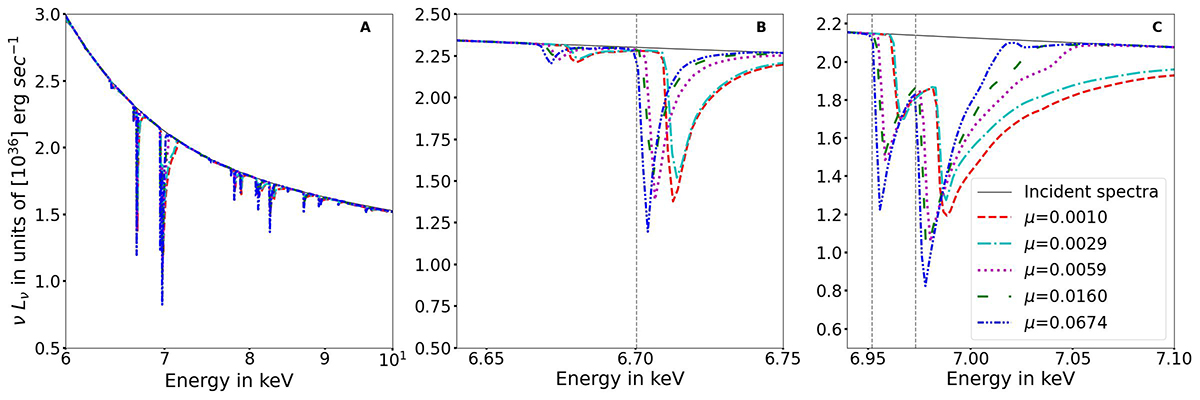
Variation of transmitted spectra for different magnetisations. The angle of the LOS is i = 21° from the plane of the disc. The cutoff of log ξ = 6 sets the inner boundary. The outer boundary is set by the field line anchored on the disc at a distance of 105 Rg from the black hole. Broadband view of 6−10 keV is presented in panel A indicating the most prominent absorption lines are Fe XXV and Fe XXVI, zoomed in view of which are shown in panels B and C respectively. Rest frame energy of Fe XXV resonance line (6.70040 keV) in panel B and, Fe XXVI Lyα1 (6.97316 keV) and Lyα2 (6.95197 keV) in panel C are indicated by the vertical grey lines. Magnetisation clearly plays a decisive role in shaping the transmitted spectra.
Current usage metrics show cumulative count of Article Views (full-text article views including HTML views, PDF and ePub downloads, according to the available data) and Abstracts Views on Vision4Press platform.
Data correspond to usage on the plateform after 2015. The current usage metrics is available 48-96 hours after online publication and is updated daily on week days.
Initial download of the metrics may take a while.