Open Access
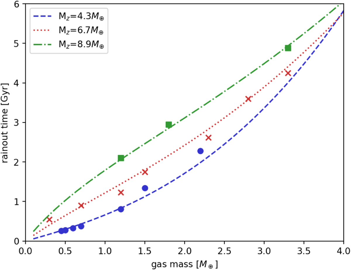
Fig. 7

Download original image
Rainout time as a function of gas (H and He) mass for three cases of silicate mass: MZ = 4.3 M⊕ (blue), MZ = 6.7 M⊕ (red), and MZ = 8.9 M⊕ (green). We show numerical simulations (points) and analytical calculation (curves). The analytical model is according to Eq. (17), and the parameters appear in Table 1.
Current usage metrics show cumulative count of Article Views (full-text article views including HTML views, PDF and ePub downloads, according to the available data) and Abstracts Views on Vision4Press platform.
Data correspond to usage on the plateform after 2015. The current usage metrics is available 48-96 hours after online publication and is updated daily on week days.
Initial download of the metrics may take a while.