Fig. 9

Download original image
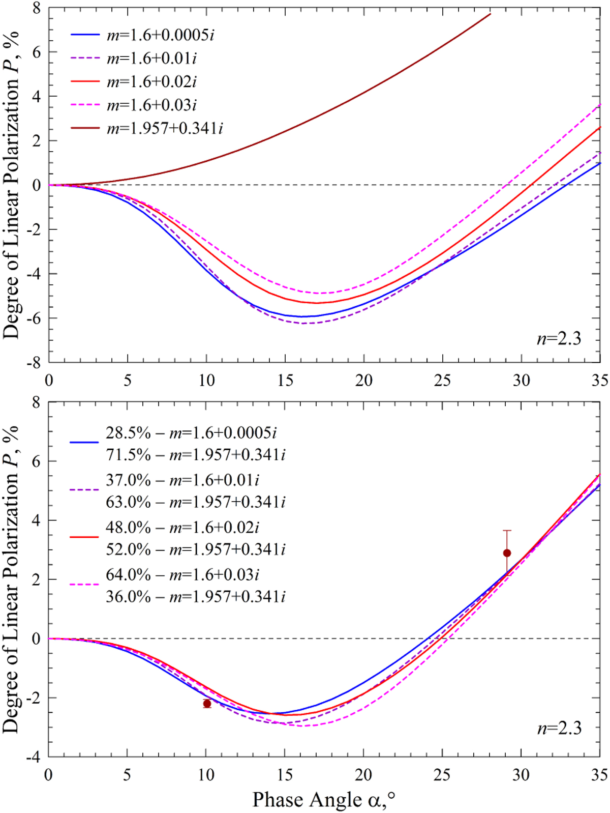
Degree of linear polarization as a function of phase angle α. Top panel: agglomerated debris particles with five different refractive indexes (see legend) that are representative of Mg-rich silicates with a different iron content and organic matter in red light. Bottom panel: polarimetric responses measured in comet C/2013 X1 (PANSTARRS) and the four best fits obtained using the two-component model. All modeling results were obtained using polydisperse particle systems with a power-law size distribution with index n = 2.3.
Current usage metrics show cumulative count of Article Views (full-text article views including HTML views, PDF and ePub downloads, according to the available data) and Abstracts Views on Vision4Press platform.
Data correspond to usage on the plateform after 2015. The current usage metrics is available 48-96 hours after online publication and is updated daily on week days.
Initial download of the metrics may take a while.