Fig. 11

Download original image
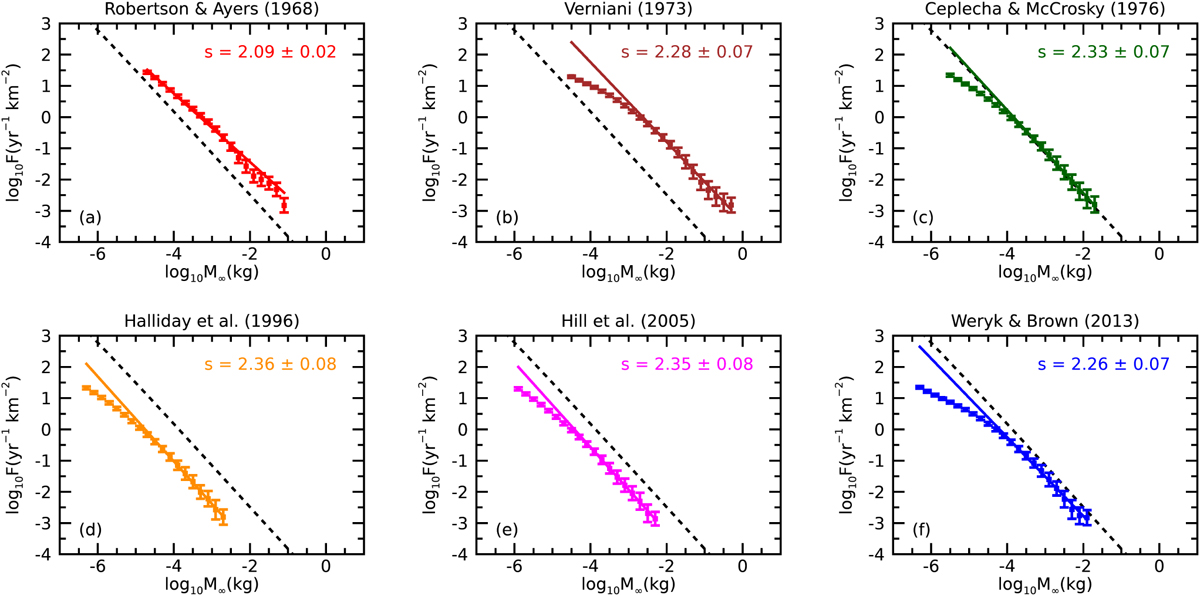
Comparison of the cumulative flux density distribution of meteoroids computed thanks to the observations of meteors by the Mini-EUSO telescope, resulting from the application of different methods to compute the pre-atmospheric mass of the meteoroid from the intensity of the observed meteor and consisting of different formulations of the luminous efficiency as a function of the pre-atmospheric speed V∞, according to the literature. These are: (a) Robertson & Ayers (1968); (b) Verniani (1973); (c) Ceplecha & McCrosky (1976); (d) Halliday et al. (1996), (e) Hill et al. (2005); and (f) Weryk & Brown (2013). In each panel, coloured squares plot the results of Mini-EUSO for mass bins associated with an overall trigger efficiency ∊ > 20% and the thick coloured line reports the result of a linear fit in the log-log space. For panel a, the linear fit is made against the whole range of masses, while for panels b-f it is made against the half interval of larger masses and extended to the whole range in order to enhance its visibility. The fitted value of the mass index s for each case is reported in the corresponding panel. In all panels, the black dashed line plots the flux estimated from Grun et al. (1985) for which s = 2.34.
Current usage metrics show cumulative count of Article Views (full-text article views including HTML views, PDF and ePub downloads, according to the available data) and Abstracts Views on Vision4Press platform.
Data correspond to usage on the plateform after 2015. The current usage metrics is available 48-96 hours after online publication and is updated daily on week days.
Initial download of the metrics may take a while.