Fig. D.1

Download original image
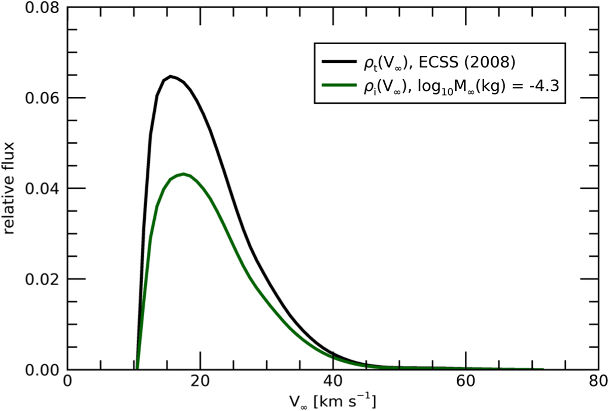
Example of the distributions of the pre-atmospheric speed, V∞, of meteoroids at 100 km altitude from the ground, used for the estimation of the exposure of Mini-EUSO as a function of the meteoroid mass, M∞. The black line plots the assumed theoretical distribution, ρt, given by ECSS (2008) and the green line reports the distribution of meteoroids, ρi, for M∞ = 10−4.3 kg observable by Mini-EUSO if assuming the luminous efficiency, τ = τ(V∞), given by Ceplecha & McCrosky (1976). For this mass bin, the exposure of Mini-EUSO is estimated to be Xi ≃ 0.68Xnom from Eq. D.5.
Current usage metrics show cumulative count of Article Views (full-text article views including HTML views, PDF and ePub downloads, according to the available data) and Abstracts Views on Vision4Press platform.
Data correspond to usage on the plateform after 2015. The current usage metrics is available 48-96 hours after online publication and is updated daily on week days.
Initial download of the metrics may take a while.