Fig. D.2

Download original image
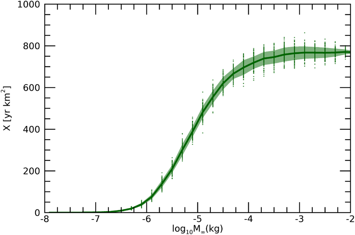
Exposure X of the Mini-EUSO telescope as a function of the pre-atmospheric mass of the meteoroids, M∞ , estimated thanks to the methodology described in Appendix D and according to the formulation of the luminous efficiency of Ceplecha & McCrosky (1976). The green points report the result of the bootstrap ensemble of 100 repetitions and their spread highlights the uncertainty in the determination of the exposure. The thick green line plots the ensemble mean and the green band reports the 68% confidence interval estimated through the ensemble standard deviation for each mass bin.
Current usage metrics show cumulative count of Article Views (full-text article views including HTML views, PDF and ePub downloads, according to the available data) and Abstracts Views on Vision4Press platform.
Data correspond to usage on the plateform after 2015. The current usage metrics is available 48-96 hours after online publication and is updated daily on week days.
Initial download of the metrics may take a while.