Open Access
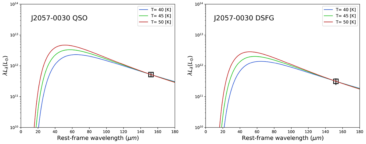
Fig. 8.

Download original image
FIR SEDs for the QSO and the DSFG using an emissivity coefficient β = 1.6 with temperatures of 40, 45, and 50 K represented by the blue, green, and red lines, respectively. The data point corresponds to ALMA detection at 895 μm (in the observed frame).
Current usage metrics show cumulative count of Article Views (full-text article views including HTML views, PDF and ePub downloads, according to the available data) and Abstracts Views on Vision4Press platform.
Data correspond to usage on the plateform after 2015. The current usage metrics is available 48-96 hours after online publication and is updated daily on week days.
Initial download of the metrics may take a while.