Open Access
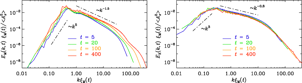
Fig. 11.

Download original image
Magnetic energy spectra (left) and kinetic energy spectra (right) for Run 2m2 with Lu = 1.8 × 105 and PrM = 100, at times t = 5, 20, 100, and 400, collapsed on top of each other by plotting both vs kξM(t) and scaling them with ξM. This makes their heights agree, as expected.
Current usage metrics show cumulative count of Article Views (full-text article views including HTML views, PDF and ePub downloads, according to the available data) and Abstracts Views on Vision4Press platform.
Data correspond to usage on the plateform after 2015. The current usage metrics is available 48-96 hours after online publication and is updated daily on week days.
Initial download of the metrics may take a while.