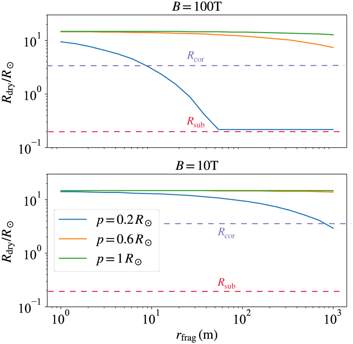
Fig. 4

Download original image
Dry-out distance for fragments as a function of the fragment size, accounting for different magnetic fields at the surface of the white dwarf. The corotation radius Rcor = 3.3 R⊙ for a period of one day and the sublimation radius Rsub = 0.2 R⊙ for refractory sublimation is denoted by the purple dashed line and the red dashed line, respectively.
Current usage metrics show cumulative count of Article Views (full-text article views including HTML views, PDF and ePub downloads, according to the available data) and Abstracts Views on Vision4Press platform.
Data correspond to usage on the plateform after 2015. The current usage metrics is available 48-96 hours after online publication and is updated daily on week days.
Initial download of the metrics may take a while.