Open Access
Fig. 6

Download original image
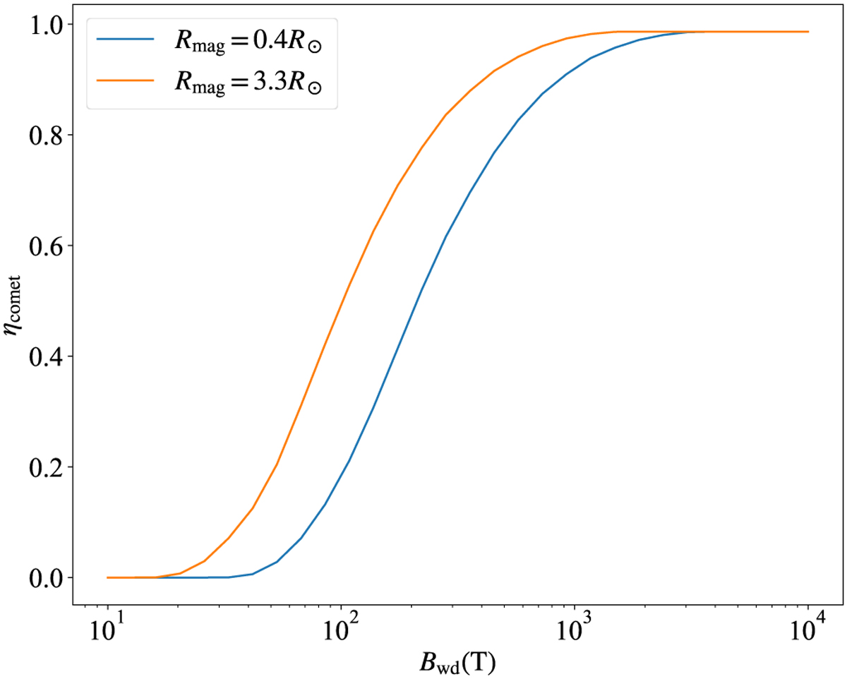
Accreted mass fraction of the volatile in the comet as a function of the magnetic field in the white dwarf surface, given Rmag ≥ Rcor. Two chosen values 0.4 R⊙ and 3.3 R⊙ correspond to the values of Rcor when the spin period of the white dwarf is 1 h and 1 day, respectively.
Current usage metrics show cumulative count of Article Views (full-text article views including HTML views, PDF and ePub downloads, according to the available data) and Abstracts Views on Vision4Press platform.
Data correspond to usage on the plateform after 2015. The current usage metrics is available 48-96 hours after online publication and is updated daily on week days.
Initial download of the metrics may take a while.