Open Access
Fig. B.3

Download original image
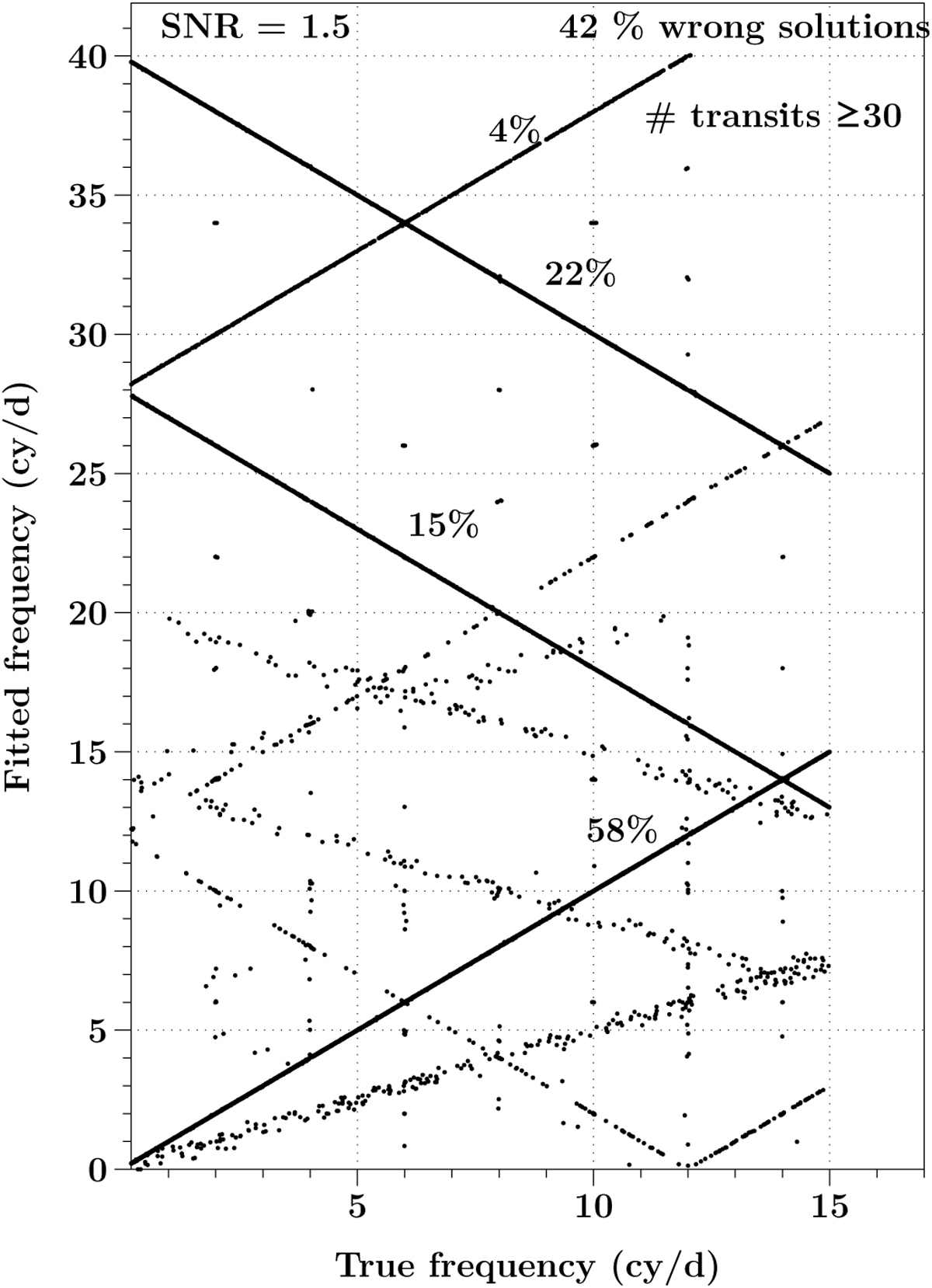
Same conditions as in Fig. B.2 with frequencies searched up to 40 cy/d. The effect of the weak rational approximations has vanished (almost no alias at 12 and 16 cy/d) replaced by the stronger approximations and their aliases at 28 and 40 cy/d.
Current usage metrics show cumulative count of Article Views (full-text article views including HTML views, PDF and ePub downloads, according to the available data) and Abstracts Views on Vision4Press platform.
Data correspond to usage on the plateform after 2015. The current usage metrics is available 48-96 hours after online publication and is updated daily on week days.
Initial download of the metrics may take a while.