Open Access

Fig. 6

image

Download original image

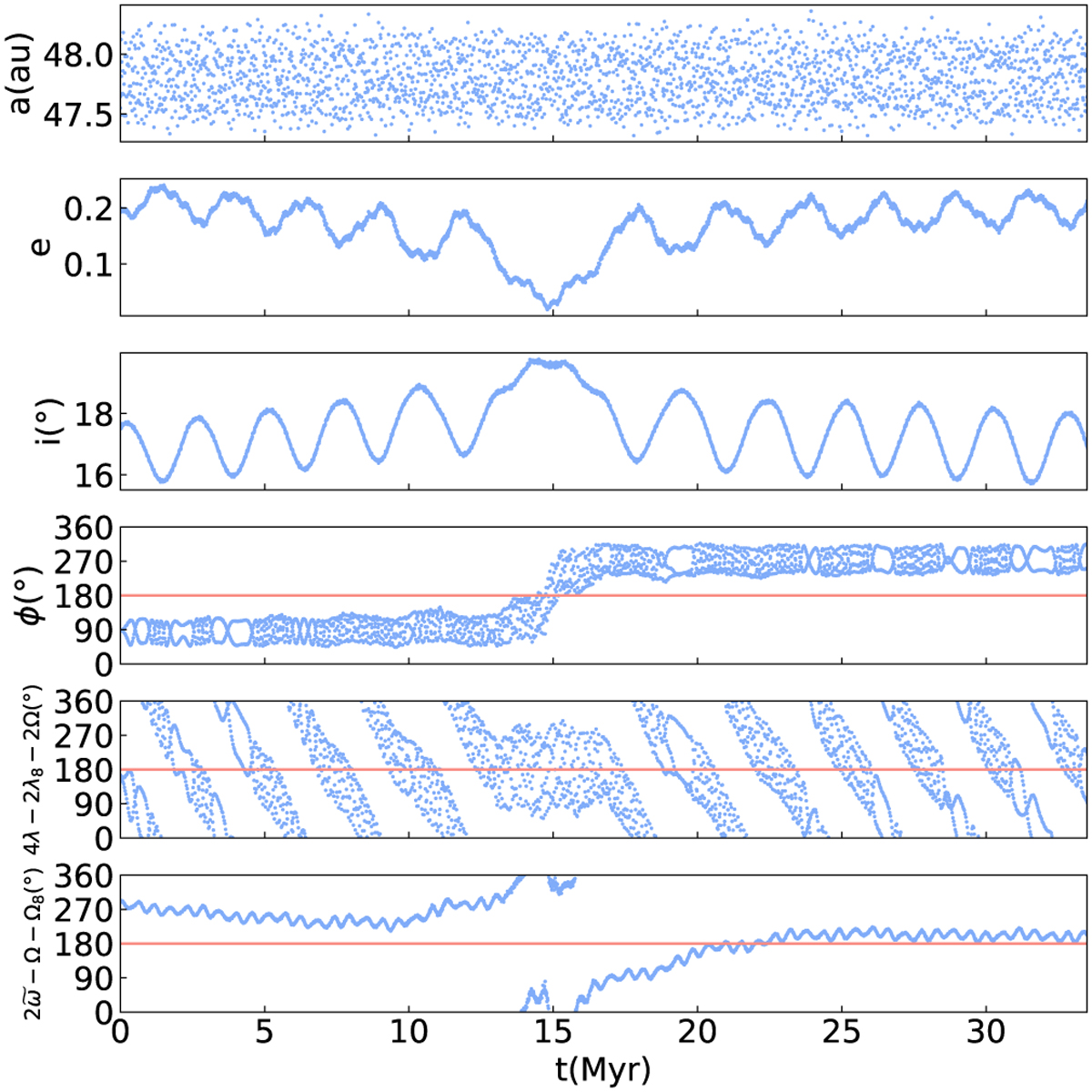
Evolution of a test particle that experiences the secular resonance 2𝑔s = s8. The initial orbital elements are a = 47.55 au, e = 0.2, i = 19°, Ω = Ω8, ω = 358.86°, and M = M8. From top to bottom, the panels show the semi-major axis, eccentricity, inclination, critical angles of the 1:2 eccentricity-type resonance, of the 2:4 inclination-type resonance, and of the 2𝑔s = s8 secular resonance. The solid lines indicate the position of 180°.

Current usage metrics show cumulative count of Article Views (full-text article views including HTML views, PDF and ePub downloads, according to the available data) and Abstracts Views on Vision4Press platform.

Data correspond to usage on the plateform after 2015. The current usage metrics is available 48-96 hours after online publication and is updated daily on week days.

Initial download of the metrics may take a while.