Fig. 8

Download original image
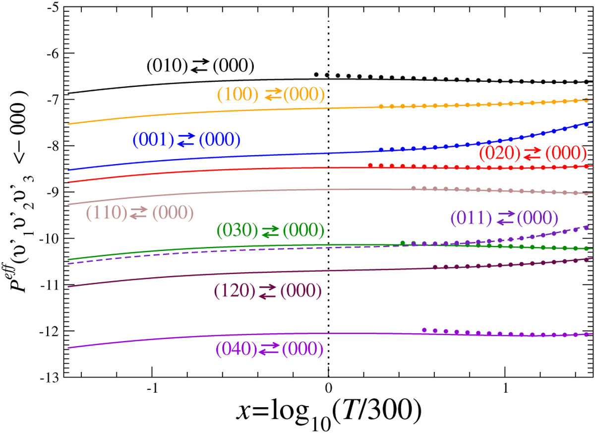
Probabilities for several rovibrational (de-)excitation of H2O. The colour code is the same as in Figs. 5 and 6. Circles of the same colour refer to the excitation process while solid or dashed lines the opposite. Note: Peff (v′ ← v) is only weakly dependent on x (i.e. temperature). It is used to obtain a cubic polynomial fit P(v' ← v) in Eq. (10) for each transition v' ← v. For convenience, the vertical dashed line at x = 0 gives the coefficient value of a0 at 300 K, evaluated by the analytical fit as ; see Eq. (8).
Current usage metrics show cumulative count of Article Views (full-text article views including HTML views, PDF and ePub downloads, according to the available data) and Abstracts Views on Vision4Press platform.
Data correspond to usage on the plateform after 2015. The current usage metrics is available 48-96 hours after online publication and is updated daily on week days.
Initial download of the metrics may take a while.