Open Access
Fig. E.1.

Download original image
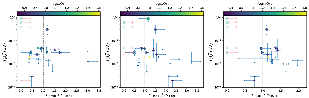
as a function of the ratio of the Mg II ([O II]) scale length to continuum scale length is shown in the left (middle) panel. The right panel shows
versus the Mg II and [O II] scale length ratio. Objects with upper limits for both scale lengths are shown at x = 0 with red lower limits and higher transparency.
Current usage metrics show cumulative count of Article Views (full-text article views including HTML views, PDF and ePub downloads, according to the available data) and Abstracts Views on Vision4Press platform.
Data correspond to usage on the plateform after 2015. The current usage metrics is available 48-96 hours after online publication and is updated daily on week days.
Initial download of the metrics may take a while.