Fig. 4.

Download original image
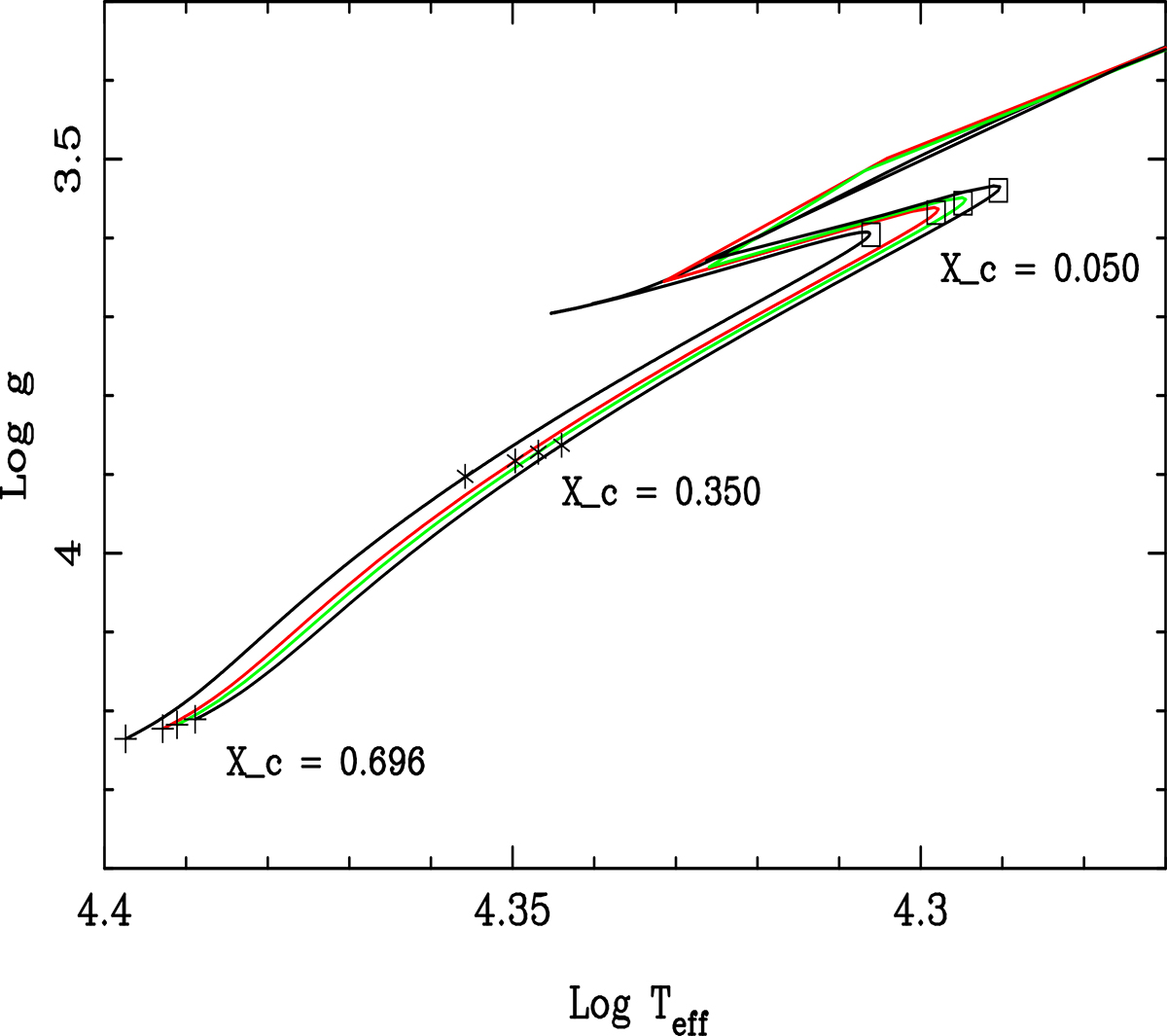
Standard model and some rotating models for 10.0 M⊙. The black line indicates non-rotating models. The red line represents models with ωinitial at the ZAMS = 6.0 × 10−5 s−1, the green line represents the models with ωinitial = 7.0 × 10−5 s−1, while the blue line indicates the model with ωinitial = 8.0 × 10−5 s−1. The plus signs (+), asterisks (*), and squares (▫) represent the evolutionary phases Xc = 0.696, 0.35, and 0.05, respectively. For the sake of clarity only three rotating models are shown.
Current usage metrics show cumulative count of Article Views (full-text article views including HTML views, PDF and ePub downloads, according to the available data) and Abstracts Views on Vision4Press platform.
Data correspond to usage on the plateform after 2015. The current usage metrics is available 48-96 hours after online publication and is updated daily on week days.
Initial download of the metrics may take a while.