Open Access
Fig. 3

Download original image
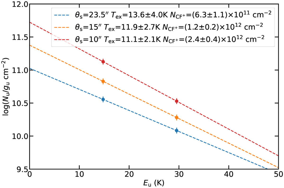
Rotational diagram of CF+ in N113. The dashed lines represent the linear least-square fits to the observed data points for three assumed source sizes. The adopted source size, fitted excitation temperature, and CF+ column density are shown in the upper right.
Current usage metrics show cumulative count of Article Views (full-text article views including HTML views, PDF and ePub downloads, according to the available data) and Abstracts Views on Vision4Press platform.
Data correspond to usage on the plateform after 2015. The current usage metrics is available 48-96 hours after online publication and is updated daily on week days.
Initial download of the metrics may take a while.