Open Access

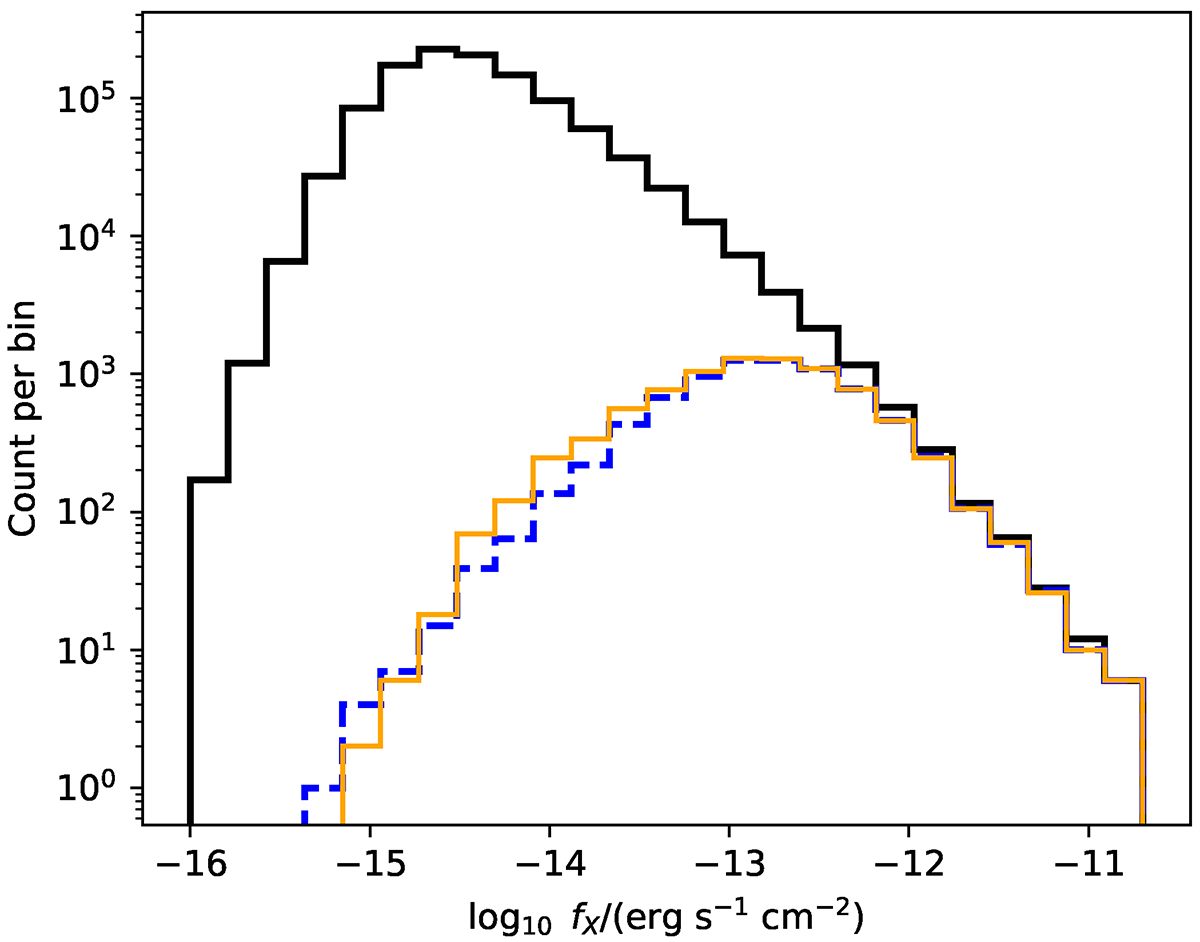
Fig. 1.

image

Download original image

Comparing the outcome of two matching procedures relating simulated halos (plain black histogram) to detected sources (photon-based matching is a dashed blue line, and position-based matching is a thin orange line). A simulated halo is flagged as selected (Imain = 1) whenever it is (solidly) matched to an extended source in the detection catalogue. The details of the matching algorithms impact the flux distribution of detected sources, especially at flux below a few 10−14 erg s−1 cm−2, with deviations up to a factor 2 in certain bins.

Current usage metrics show cumulative count of Article Views (full-text article views including HTML views, PDF and ePub downloads, according to the available data) and Abstracts Views on Vision4Press platform.

Data correspond to usage on the plateform after 2015. The current usage metrics is available 48-96 hours after online publication and is updated daily on week days.

Initial download of the metrics may take a while.