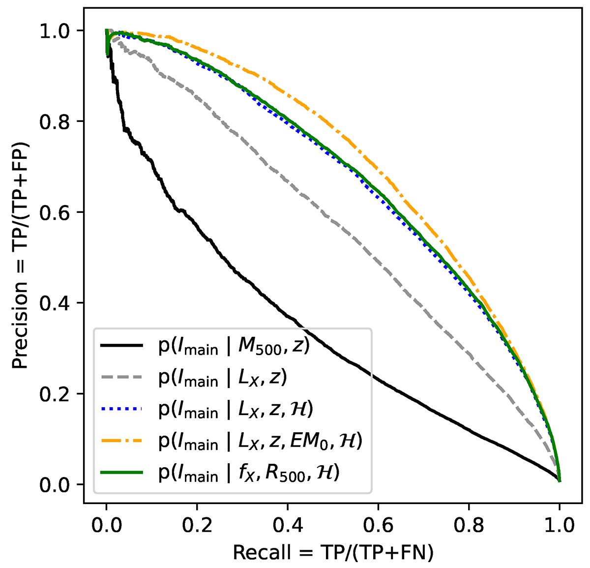
Fig. 11.

Download original image
Precision-recall curves obtained with selection models trained to predict the selection of a cluster in the primary sample. The input parameters vary from one model to the other, as indicated in the legend. A model involving luminosity, redshift, morphological features and local sky information performs best (yellow dot-dashed curve).
Current usage metrics show cumulative count of Article Views (full-text article views including HTML views, PDF and ePub downloads, according to the available data) and Abstracts Views on Vision4Press platform.
Data correspond to usage on the plateform after 2015. The current usage metrics is available 48-96 hours after online publication and is updated daily on week days.
Initial download of the metrics may take a while.