Fig. 8.

Download original image
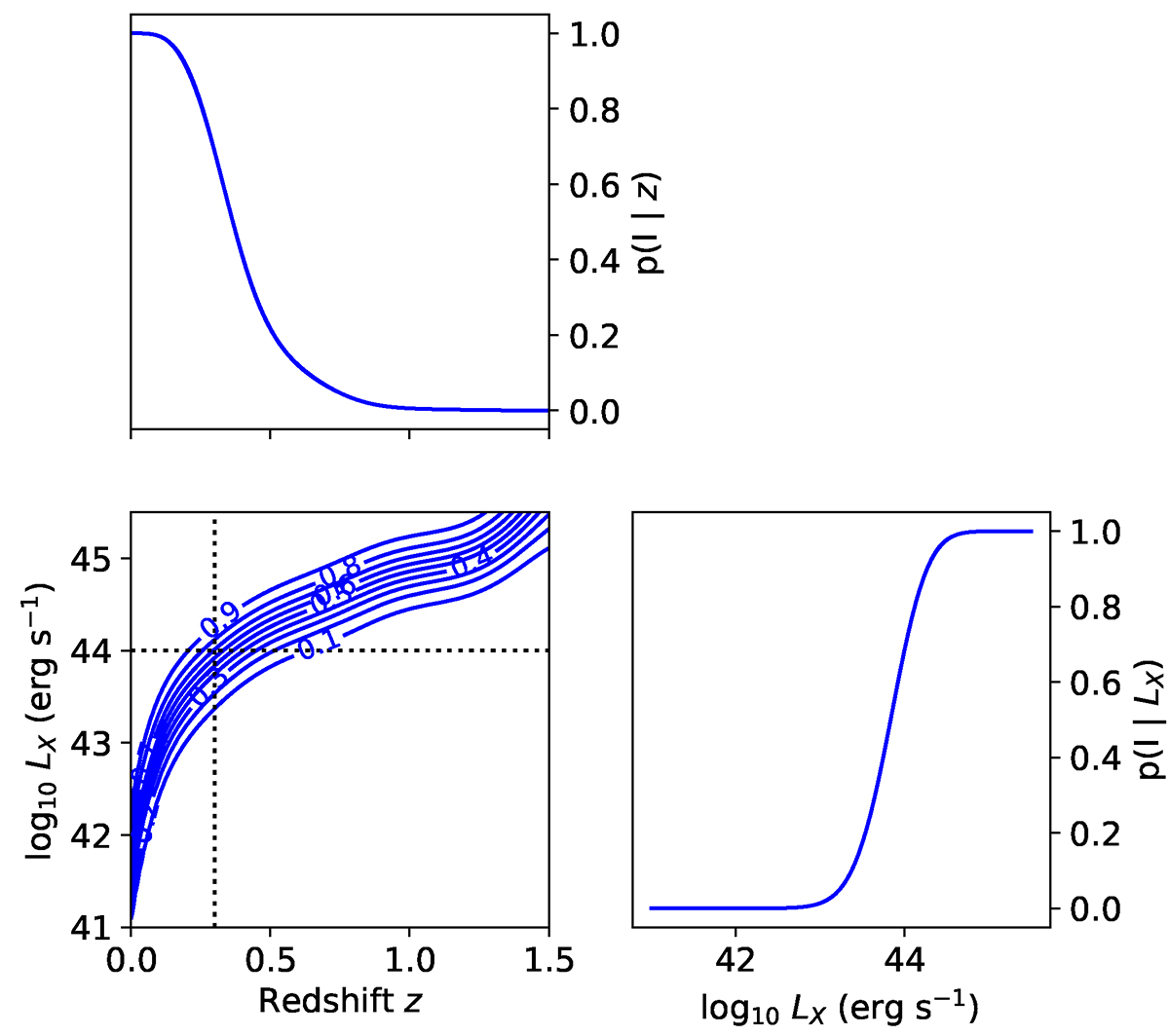
Representation of the model p(Imain|LX, z) predicting a cluster to be detected and selected with an extent likelihood above three. The explanatory variables (features) are labels attached to simulated clusters in the twin simulation, standing for galaxy cluster luminosity LX measured in the 0.5–2 keV energy band at the cluster rest-frame (units erg s−1, rescaled in log10) and for cosmological redshift z. Other details are similar as in Fig. 7.
Current usage metrics show cumulative count of Article Views (full-text article views including HTML views, PDF and ePub downloads, according to the available data) and Abstracts Views on Vision4Press platform.
Data correspond to usage on the plateform after 2015. The current usage metrics is available 48-96 hours after online publication and is updated daily on week days.
Initial download of the metrics may take a while.