Fig. B.1

Download original image
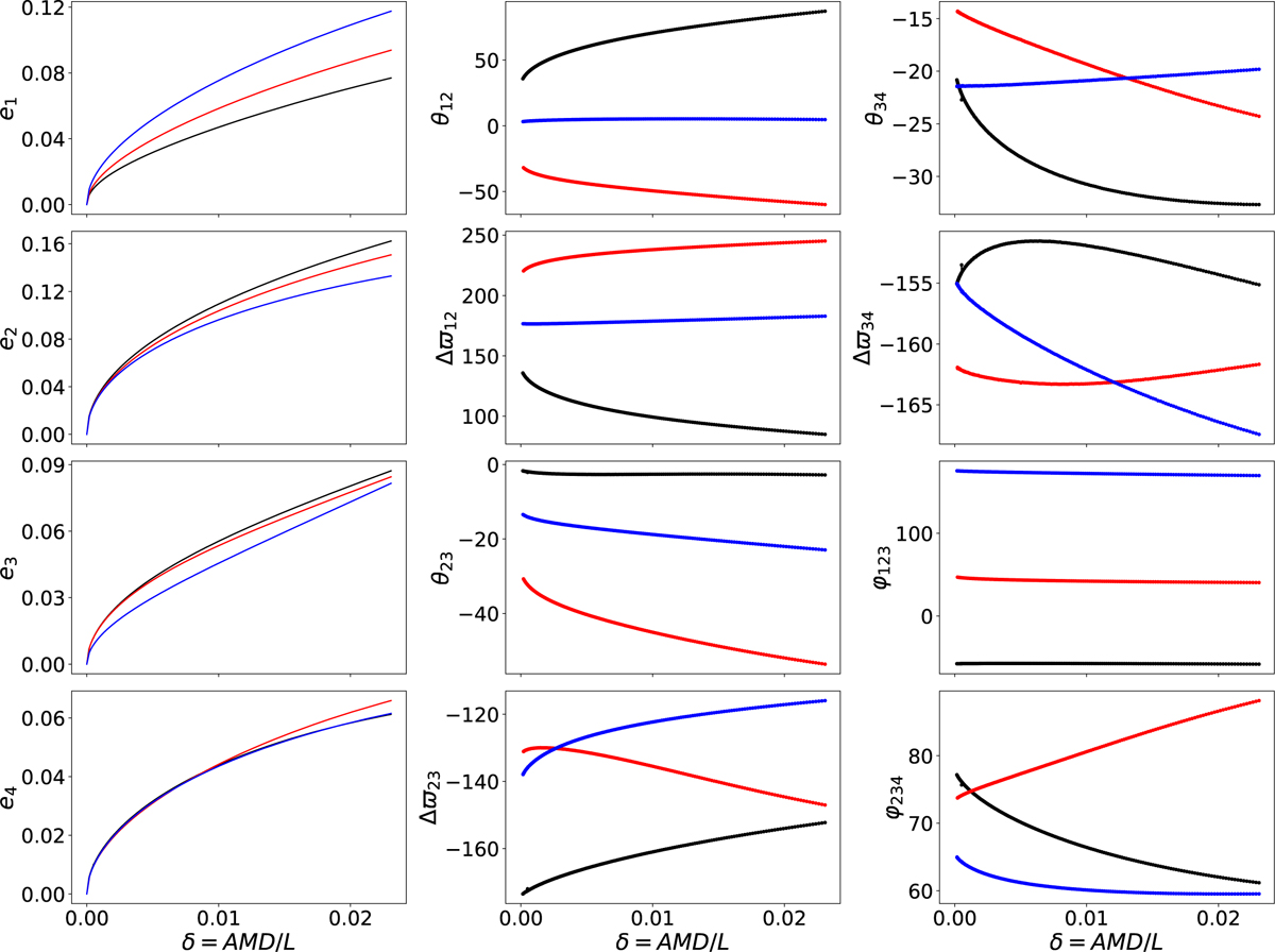
Locations and resonant configurations of six families of stable ACR for the four-planet resonant chain in Kepler-223. The variations of the eccentricities, the resonant angles, and the three-planet Laplace angles, are plotted against the scaled AMD (δ). Each family together with its symmetric opposite (see text) is represented by a specific colour in all panels.
Current usage metrics show cumulative count of Article Views (full-text article views including HTML views, PDF and ePub downloads, according to the available data) and Abstracts Views on Vision4Press platform.
Data correspond to usage on the plateform after 2015. The current usage metrics is available 48-96 hours after online publication and is updated daily on week days.
Initial download of the metrics may take a while.