Fig. 6

Download original image
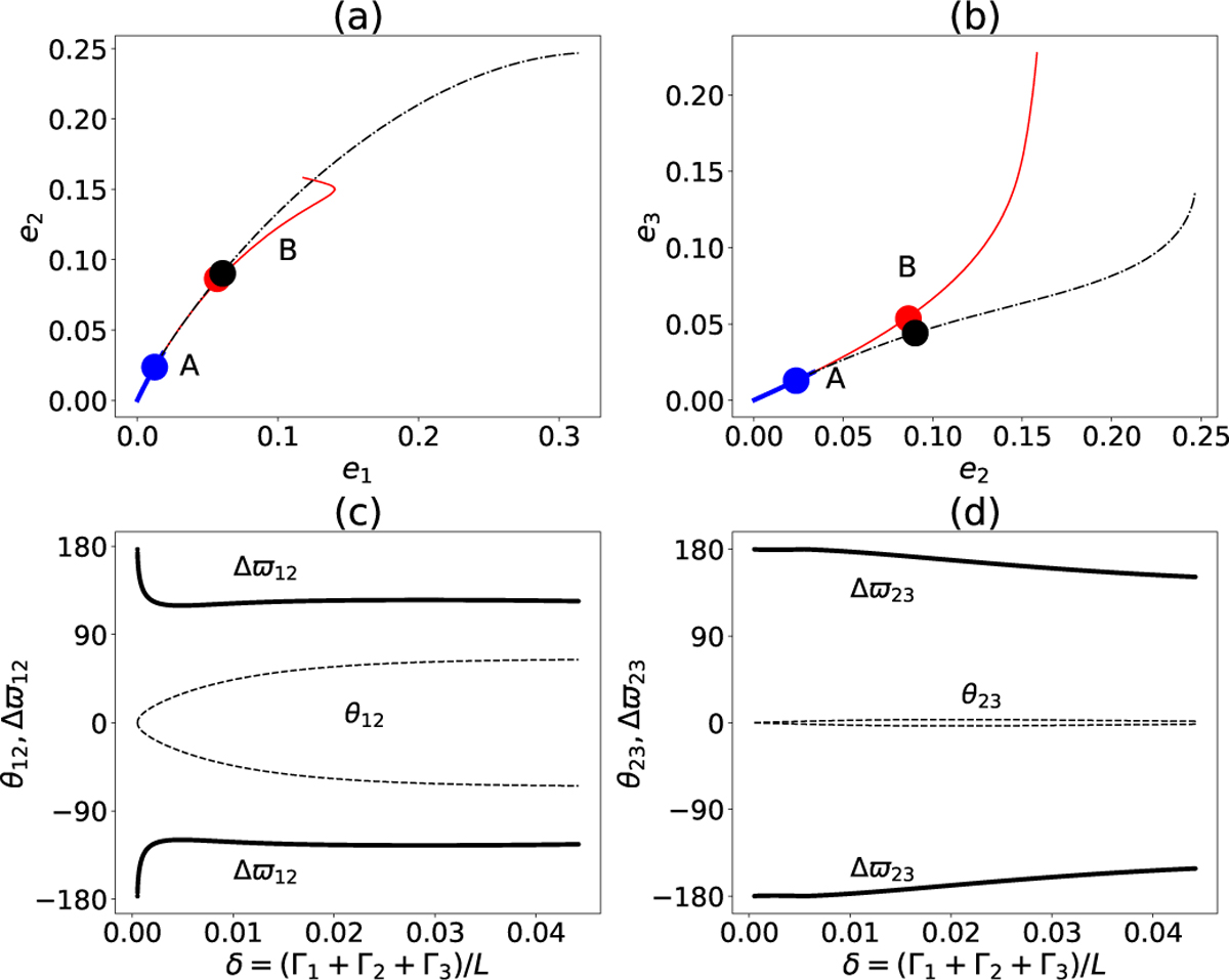
Locations and resonant configurations of the symmetric ACR family (S6) and the asymmetric ACR family (A6). In the upper two panels (a) and (b), the stable symmetric, unstable symmetric, and stable asymmetric ACRs are indicated by blue solid, red solid, and black dashed lines, respectively. Three solid circles on these lines indicate the initial conditions that will be analysed in detail later (see text). The lower two panels (c) and (d) show the evolutions of resonant angles along the asymmetric ACR as the function of δ (scaled AMD, see text). The resonant angles θ12, θ23 and the secular angles Δϖ12, Δϖ23 are labelled by the corresponding lines.
Current usage metrics show cumulative count of Article Views (full-text article views including HTML views, PDF and ePub downloads, according to the available data) and Abstracts Views on Vision4Press platform.
Data correspond to usage on the plateform after 2015. The current usage metrics is available 48-96 hours after online publication and is updated daily on week days.
Initial download of the metrics may take a while.