Fig. 7

Download original image
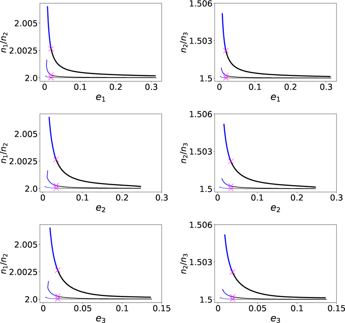
Law of structure for the 1:2:3 resonant chain. The left (right) column of panels show the relation between the mean motion ratio n1/n2 (n2/n3) and the eccentricities (e1, e2, e3 from top to bottom). Blue lines are for the stable symmetric ACR families (S6) while the black lines for the stable asymmetric family (A6). On each panel, the lowest line is for the planets in the Kepler-51 system, while the middle and the top lines are for the cases of 10 and 100 times more massive planets, respectively (see text). The critical points, at which the S6 family becomes unstable and the asymmetric solution appears, are denoted by red crosses.
Current usage metrics show cumulative count of Article Views (full-text article views including HTML views, PDF and ePub downloads, according to the available data) and Abstracts Views on Vision4Press platform.
Data correspond to usage on the plateform after 2015. The current usage metrics is available 48-96 hours after online publication and is updated daily on week days.
Initial download of the metrics may take a while.