Open Access
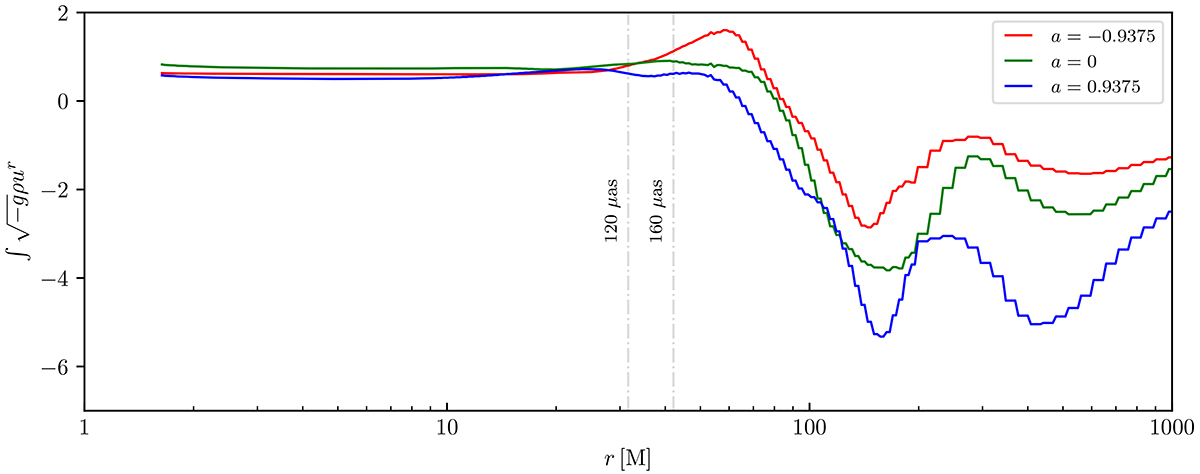
Fig. D.1.

Download original image
Time-averaged vertically integrated mass flux with black hole spins of a = −0.9375 (red), 0 (green), and 0.9375 (blue) in the turbulent heating prescription. The dash-dotted vertical lines correspond to the apparent radius of 120 and 160 μas FoV in the GRRT images.
Current usage metrics show cumulative count of Article Views (full-text article views including HTML views, PDF and ePub downloads, according to the available data) and Abstracts Views on Vision4Press platform.
Data correspond to usage on the plateform after 2015. The current usage metrics is available 48-96 hours after online publication and is updated daily on week days.
Initial download of the metrics may take a while.