Open Access
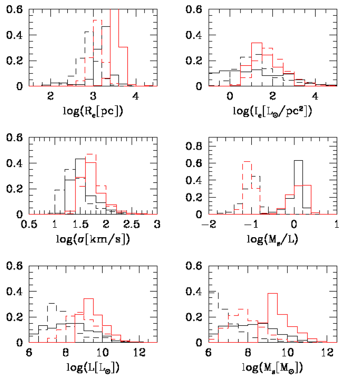
Fig. 1.

Download original image
Comparison between the data of Illustris-1 and IllustrisTNG-100. The black lines mark the TNG data, while the red ones the Illustris-1. The histograms are normalized to the total number of galaxies. The dashed lines refer to z = 4, while the solid line to z = 0.
Current usage metrics show cumulative count of Article Views (full-text article views including HTML views, PDF and ePub downloads, according to the available data) and Abstracts Views on Vision4Press platform.
Data correspond to usage on the plateform after 2015. The current usage metrics is available 48-96 hours after online publication and is updated daily on week days.
Initial download of the metrics may take a while.