Open Access
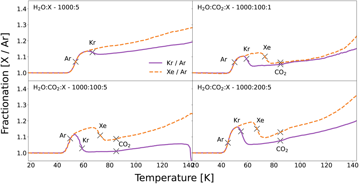
Fig. C.1

Download original image
Noble gas ratios of Kr/Ar (solid purple line) and Xe/Ar (dashed orange line) versus the ice temperature. The peak desorption temperatures of pure phase Ar, Kr, Xe, and CO2 are indicated with crosses.
Current usage metrics show cumulative count of Article Views (full-text article views including HTML views, PDF and ePub downloads, according to the available data) and Abstracts Views on Vision4Press platform.
Data correspond to usage on the plateform after 2015. The current usage metrics is available 48-96 hours after online publication and is updated daily on week days.
Initial download of the metrics may take a while.