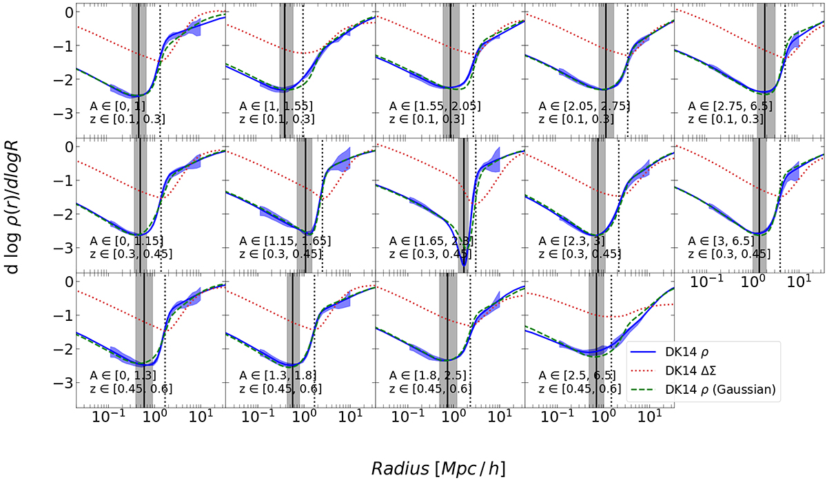
Fig. 8.

Download original image
Posterior distributions of the recovered mass, concentration, and splashback radius when assuming constant (red) and Gaussian (green) priors for the parameters α0, αν, β and γ0 that describe the Einasto profile and the transition term in the DK14 model. Left and right panels show two different amplitude bins in the first redshift interval. The left refers to the third blue data point in Fig. 7 where the two splashback radii differ most, while the right one refers to to the largest amplitude bin (corresponding to the last blue data point in Fig. 7), as also presented in Fig. 5.
Current usage metrics show cumulative count of Article Views (full-text article views including HTML views, PDF and ePub downloads, according to the available data) and Abstracts Views on Vision4Press platform.
Data correspond to usage on the plateform after 2015. The current usage metrics is available 48-96 hours after online publication and is updated daily on week days.
Initial download of the metrics may take a while.