Open Access
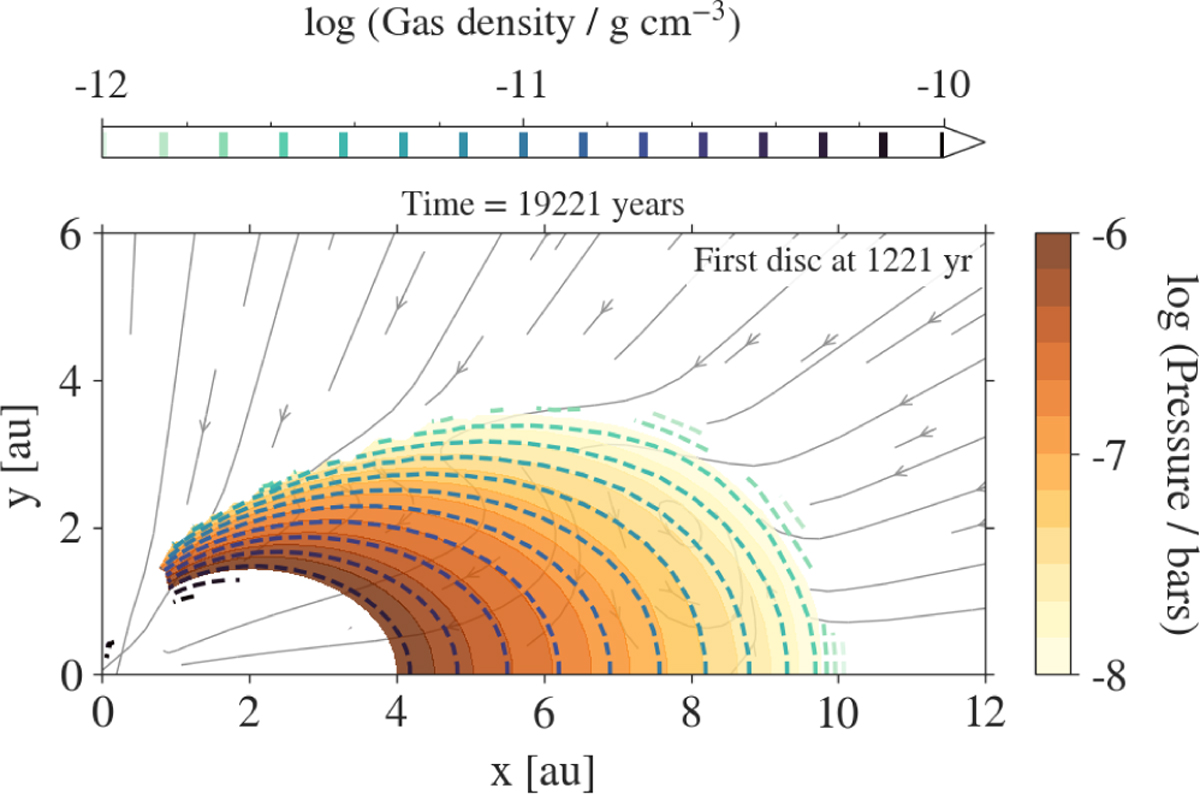
Fig. 4

Download original image
Thermal pressure Pth in colour and isodensity contours within the first core disc at 1221 yr. The infalling envelope has been masked to highlight the non-zero baroclinicity within the disc. The gas velocity streamlines in the background indicate the material falling onto the disc and the circulation within.
Current usage metrics show cumulative count of Article Views (full-text article views including HTML views, PDF and ePub downloads, according to the available data) and Abstracts Views on Vision4Press platform.
Data correspond to usage on the plateform after 2015. The current usage metrics is available 48-96 hours after online publication and is updated daily on week days.
Initial download of the metrics may take a while.