Fig. 8.

Download original image
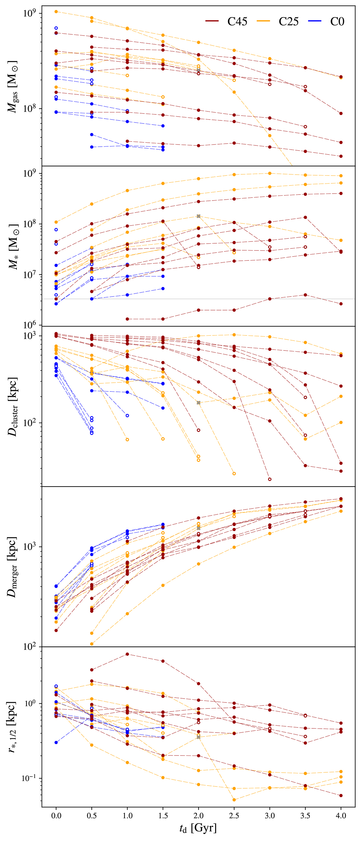
Evolution of stripped tidal dwarf galaxies forming due to a galaxy merger on three different orbits in a cluster (C0, C25, and C45). From top to bottom, we show gas mass Mgas, stellar mass M*, cluster-centric distance Dcluster, distance Dmerger to the galaxy merger remnant and stellar half-mass radius r*, 1/2 of the dwarfs. Open circles indicate that the dwarf is destroyed afterwards. The gray horizontal line in the second panel represents a resolution threshold of five stellar particles.
Current usage metrics show cumulative count of Article Views (full-text article views including HTML views, PDF and ePub downloads, according to the available data) and Abstracts Views on Vision4Press platform.
Data correspond to usage on the plateform after 2015. The current usage metrics is available 48-96 hours after online publication and is updated daily on week days.
Initial download of the metrics may take a while.