Fig. 2.

Download original image
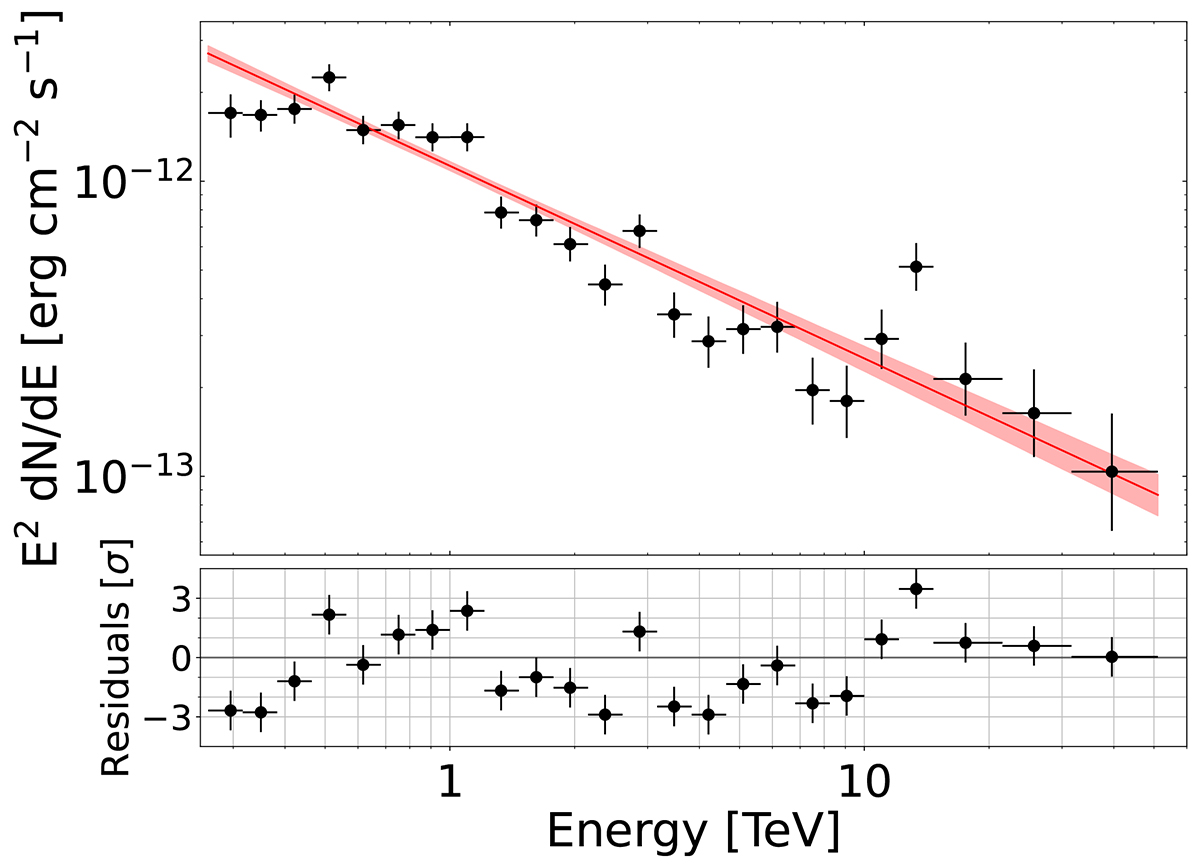
Total spectrum of PSR B1259–63/LS 2883’s 2021 periastron passage. The spectrum was produced from all data taken with H.E.S.S. during the 2021 periastron passage observations of PSR B1259–63/LS 2883, using an unfixed energy range. The spectrum has been fit with a power-law model. For details on the properties of the spectra displayed see Table 2. The red band indicates the 68% c.i. of the statistical error for the fitted model.
Current usage metrics show cumulative count of Article Views (full-text article views including HTML views, PDF and ePub downloads, according to the available data) and Abstracts Views on Vision4Press platform.
Data correspond to usage on the plateform after 2015. The current usage metrics is available 48-96 hours after online publication and is updated daily on week days.
Initial download of the metrics may take a while.