Fig. 1

Download original image
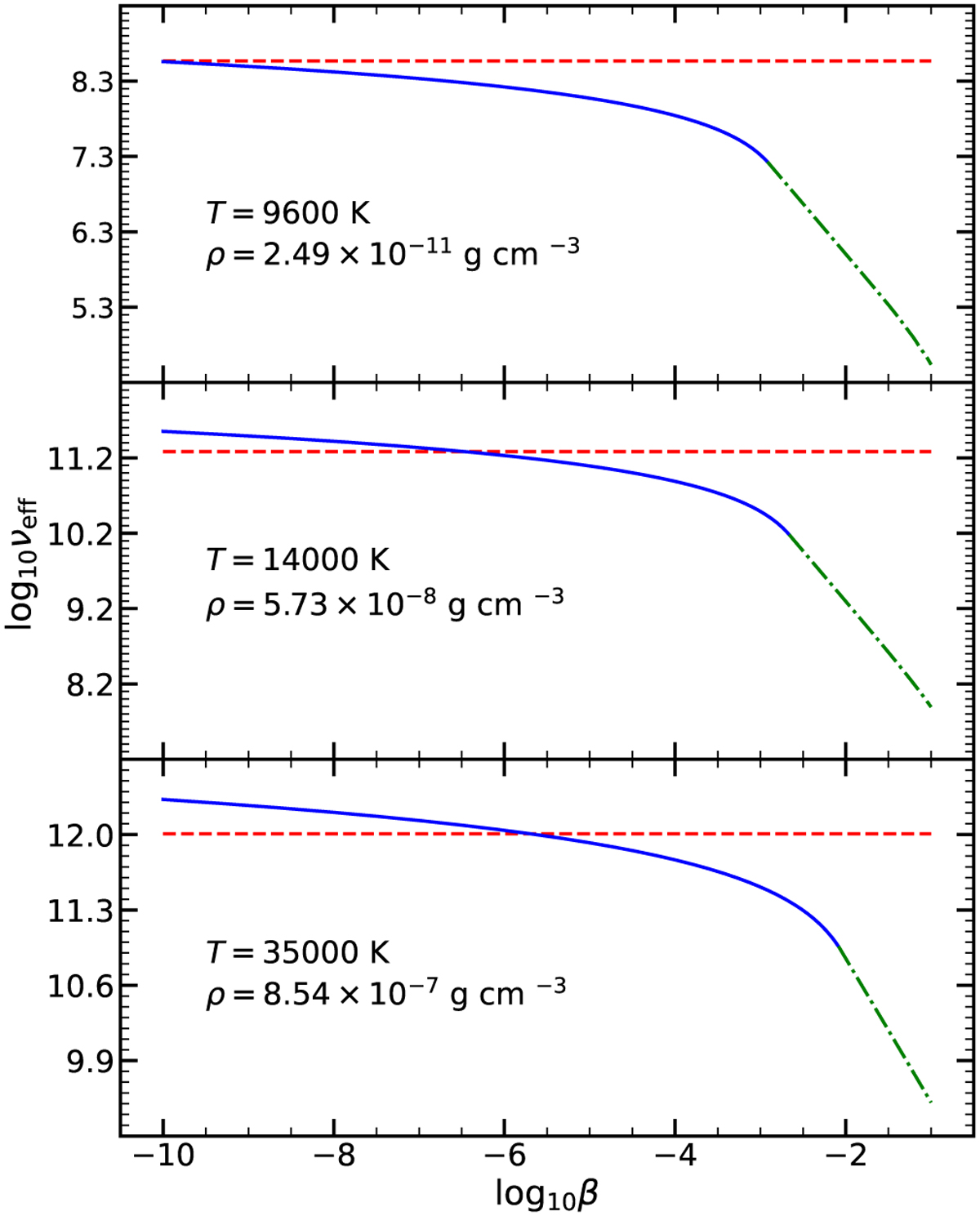
Dependence of frequency of electron-electron collisions (νeff) with field strength as predicted by Eq. (24) (continuum line for B < 6.3T3/2, dash-dotted line for B > 6.3T3/2) and Eq. (25) (dashed line). The selected physical conditions (gas temperature T, mass density ρ) correspond to different depths in a model atmosphere with Teff = 15 000 K.
Current usage metrics show cumulative count of Article Views (full-text article views including HTML views, PDF and ePub downloads, according to the available data) and Abstracts Views on Vision4Press platform.
Data correspond to usage on the plateform after 2015. The current usage metrics is available 48-96 hours after online publication and is updated daily on week days.
Initial download of the metrics may take a while.