Open Access
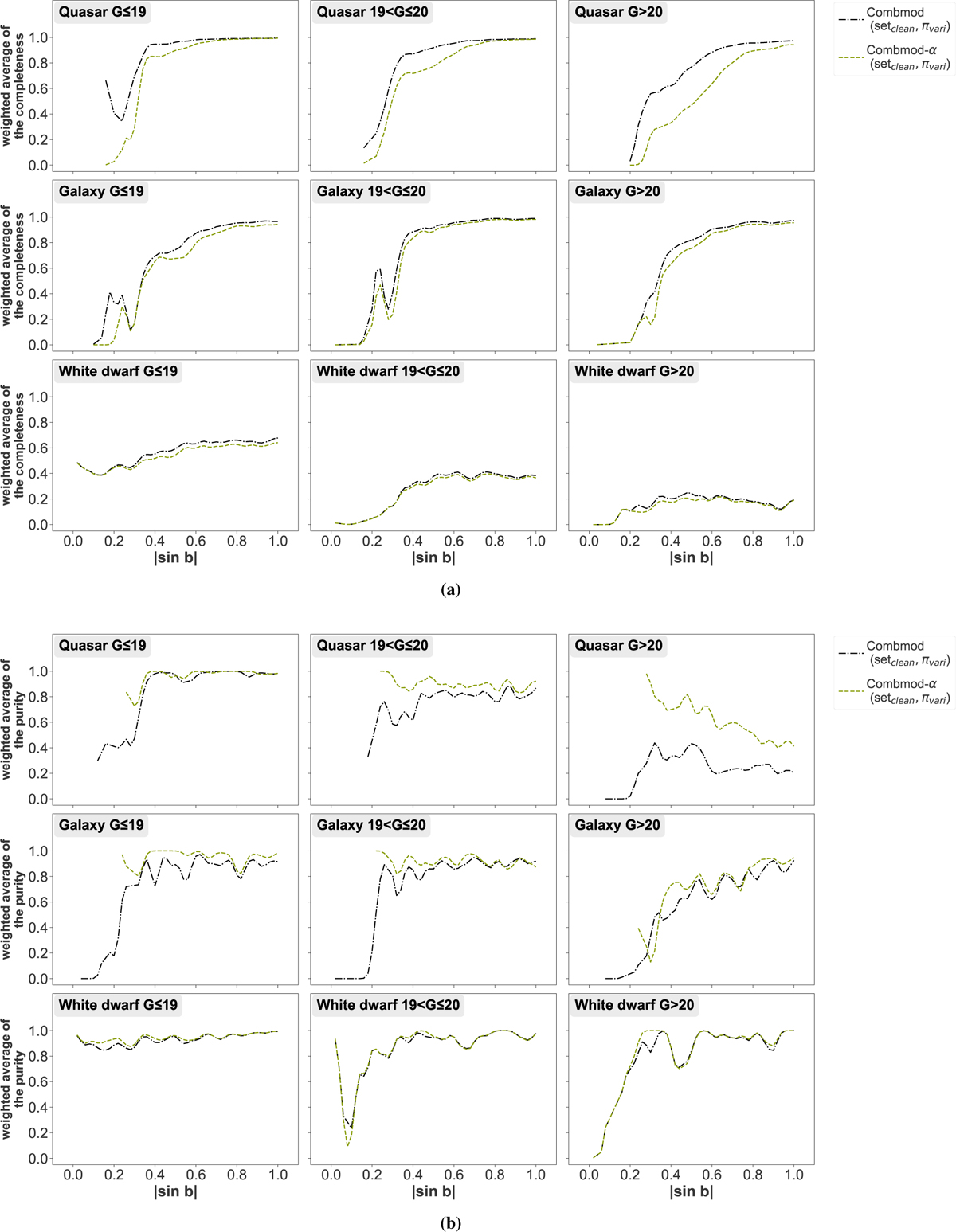
Fig. 8

Download original image
As Fig. 7, but using the variable prior instead of the global prior. In each panel the dash dot line shows the performance of the Combmod and the dash line the Combmod-α, using the variable prior. (a) Smoothed average of the 2D completenesses. (a) Smoothed average of the 2D purities.
Current usage metrics show cumulative count of Article Views (full-text article views including HTML views, PDF and ePub downloads, according to the available data) and Abstracts Views on Vision4Press platform.
Data correspond to usage on the plateform after 2015. The current usage metrics is available 48-96 hours after online publication and is updated daily on week days.
Initial download of the metrics may take a while.